Black Friday Sale Special - Limited Time 70% Discount Offer - Ends in 0d 00h 00m 00s - Coupon code: mxmas70

Home > Cisco > CCNA > 200-301

200-301 Implementing and Administering Cisco Solutions (200-301 CCNA) v1.1 Question and Answers

Question # 4

A Cisco engineer notices thai two OSPF neighbors are connected using a crossover Ethernet cable. The neighbors are taking too long to become fully adjacent. Which command must be issued under the interface configuration on each router to reduce the time required for the adjacency to reach the FULL state?

A.

ip ospf network broadcast

B.

ip ospf dead-interval 40

C.

ip ospf network point-to-point

D.

ip ospf priority 0

Full Access
Question # 5

Which protocol is implemented when an organization must verify network performance, troubleshoot issues, and use an agent to communicate between monitoring tools and end devices?

A.

SNMP

B.

FTP

C.

NTP

D.

NFS

Full Access
Question # 6

Refer to the exhibit.

The given Windows PC is requesting the IP address of the host at www.cisco.com. To which IP address is the request sent?

A.

192.168.1.226

B.

192.168.1.100

C.

192.168.1.254

D.

192.168.1.253

Full Access
Question # 7

Which interface enables communication between a program on the controller and a program on the networking devices?

A.

northbound interface

B.

software virtual interface

C.

southbound interface

D.

tunnel Interface

Full Access
Question # 8

Refer to the exhibit.

Host A switch interface is configured in VLAN 2. Host D sends a unicast packet destined for the IP address of host A.

What does the switch do when it receives the frame from host D?

A.

It creates a broadcast storm.

B.

It drops the frame from the MAC table of the switch.

C.

It shuts down the source port and places It In err-disable mode.

D.

It floods the frame out of every port except the source port.

Full Access
Question # 9

Which cable type must be used when connecting a router and switch together using these criteria?

• Pins 1 and 2 are receivers and pins 3 and 6 are transmitters

• Auto detection MDi-X is unavailable

A.

straight-through

B.

rollover

C.

crossover

D.

console

Full Access
Question # 10

Refer to the exhibit.

What is represented by "R1" and "SW1" within the JSON output?

A.

key

B.

array

C.

value

D.

object

Full Access
Question # 11

A router has two static routes to the same destination network under the same OSPF process. How does the router forward packets to the destination if the next-hop devices are different?

A.

The router chooses the route with the oldest age.

B.

The router load-balances traffic over all routes to the destination.

C.

The router chooses the next hop with the lowest MAC address.

D.

The router chooses the next hop with the lowest IP address.

Full Access
Question # 12

Refer to the exhibit.

Switch AccSw2 has just been added to the network along with PC2. All VLANs have been implemented on AccSw2. How must the ports on AccSw2 be configured to establish Layer 2 connectivity between PC1 and PC2?

A.

B.

B.

C.

C.

D.

D.

Full Access
Question # 13

To improve corporate security, an organization is planning to implement badge authentication to limit access to the data center. Which element of a security program is being deployed?

A.

user training

B.

user awareness

C.

vulnerability verification

D.

physical access control

Full Access
Question # 14

What describes the functionality of southbound APIs?

A.

They use HTTP messages to communicate.

B.

They enable communication between the controller and the network device.

C.

They convey information from the controller to the SDN applications.

D.

They communicate with the management plane.

Full Access
Question # 15

An engineer is configuring SSH version 2 exclusively on the R1 router. What is the minimum configuration required to permit remote management using the cryptographic protocol?

A.

Option A

B.

Option B

C.

Option C

D.

Option D

Full Access
Question # 16

How does encryption project the wireless network?

A.

via integrity checks to identify wireless forgery attacks in the frame

B.

via specific ciphers to detect and prevent zero-day network attacks

C.

via an algorithm to change wireless data so that only the access point and client understand it

D.

via a policy to prevent unauthorized users from communicating on the wireless network

Full Access
Question # 17

Refer to the exhibit. R1 has taken the DROTHER role in the OSPF DR/BDR election process. Which configuration must an engineer implement so that R1 is elected as the DR?

A.

R1(config)#interface FastEthernet 0/0R1(config-if)#ip ospf priority 1R1#clear ip ospf process

B.

R2(config)#interface FastEthernet 0/2R2(config-if)#ip ospf priority 1R2#clear ip ospf process

C.

R1(config)#interface FastEthernet 0/0R1(config-if)#ip ospf priority 200R1#clear ip ospf process

D.

R3(config)#interface FastEthernet 0/1R3(config-if)#ip ospf priority 200R3#clear ip ospf process

Full Access
Question # 18

Refer to the exhibit.

What is the subnet mask of the route to the 10.10.13.160 prefix?

A.

255.255.255.240

B.

255.255.255.128

C.

255.255.248.

D.

255.255.255.248

Full Access
Question # 19

Drag and drop the AAA lerms from the left onto the descriptions on the right.

Full Access
Question # 20

What is the purpose of classifying network traffic in QoS?

A.

services traffic according to its class

B.

identifies the type of traffic that will receive a particular treatment

C.

writes the class identifier of a packet to a dedicated field in the packet header

D.

configures traffic-matching rules on network devices

Full Access
Question # 21

What is a link-local all-nodes IPv6 multicast address?

A.

ff02:0:0:0:0:0:0:1

B.

2004:31c:73d9:683e:255::

C.

fffe:034:0dd:45d6:789e::

D.

fe80:4433:034:0dd::2

Full Access
Question # 22

Which part of the HTTP request is used in REST API basic authentication to carry credentials?

A.

cookie

B.

content-type

C.

authorization

D.

accept

Full Access
Question # 23

What is a specification for SSIDS?

A.

They are a Cisco proprietary security feature.

B.

They must include one number and one letter.

C.

They define the VLAN on a switch.

D.

They are case sensitive.

Full Access
Question # 24

A switch is forwarding a frame out of all interfaces except the interface that received the frame. What is the technical term for this process?

A.

ARP

B.

Multicast

C.

CDP

D.

Flooding

Full Access
Question # 25

Refer to the exhibit.

What is the subnet mask of the route to the 10.10.13.160 prefix?

A.

255.255.255.240

B.

255.255.255.128

C.

255.255.255.248

D.

255.255.248.0

Full Access
Question # 26

Which IPsec mode encapsulates the entire IP packet?

A.

tunnel

B.

Q-in-Q

C.

SSL VPN

D.

transport

Full Access
Question # 27

Drag and drop the virtualization concepts from the left onto the matching statements on the right.

Full Access
Question # 28

What determines the sequence in which materials are planned during the material requirements planning (MRP) run?

A.

The control parameters of the MRP run

B.

The creation date of the materials

C.

The low-level code of the materials

D.

The replenishment lead time of the materials

Full Access
Question # 29

Refer to the exhibit.

What is the next step to complete the implementation for the partial NAT configuration shown?

A.

Reconfigure the static NAT entries that overlap the NAT pool

B.

Configure the NAT outside interface

C.

Modify the access list for the internal network on e0/1

D.

Apply the ACL to the pool configuration

Full Access
Question # 30

Which syslog severity level is considered the most severe and results in the system being considered unusable?

A.

Alert

B.

Error

C.

Emergency

D.

Critical

Full Access
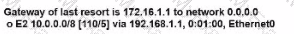
Question # 31

Refer to the exhibit.

How does router R1 handle traffic to the 172.16.1.4/30 subnet?

A.

It sends all traffic over the path via 172.16.9.5 using 172.16.4.4 as a backup.

B.

It sends all traffic over the path via 10.0.1.100.

C.

It load-balances traffic over 172.16.9.5 and 172.16.4.4.

D.

It sends all traffic over the path via 172.16.4.4.

Full Access
Question # 32

Drag and drop the QoS terms from the left onto the descriptions on the right.

Full Access
Question # 33

Refer to the exhibit.

Drag and drop the destination IPs from the left onto the paths to reach those destinations on the right.

Full Access
Question # 34

An engineer must configure a core router with a floating static default route to the backup router at 10.200.0.2. Which command meets the requirements?

A.

ip route 0.0.0.0 0.0.0.0 10.200.0.2 1

B.

Ip route 0.0.0.0 0.0.0.0 10.200.0.2 floating

C.

ip route 0.0.0.0 0.0.0.0 10.200.0.2

D.

Ip route 0.0.0.0 0.0.0.0 10.200.0.2 10

Full Access
Question # 35

Refer to the exhibit. An engineer must translate the PC1 IP address to 10.199.77.100 and permit PC1 to ping the loopback 0 on router R2. What command set must be used?

A)

B)

C)

D)

A.

Option A

B.

Option B

C.

Option C

D.

Option D

Full Access
Question # 36

What describes the functionality of southbound APIs?

A.

They use HTTP messages to communicate.

B.

They enable communication between the controller and the network device.

C.

They convey information from the controller to the SDN applications.

D.

They communicate with the management plane.

Full Access
Question # 37

Refer to the exhibit.

Which types of JSON data is shown

A.

Object

B.

Sequence

C.

String

D.

boolean

Full Access
Question # 38

A)

B)

C)

D)

A.

Option A

B.

Option B

C.

Option C

D.

Option D

Full Access
Question # 39

Drag and drop the TCP or UDP details from the left onto their corresponding protocols on the right.

Full Access
Question # 40

Which advantage does machine learning offer for network security?

A.

It improves real-time threat detection.

B.

It manages firewall rule sets.

C.

It enforces password complexity requirements.

D.

It controls VPN access permissions.

Full Access
Question # 41

Refer to the exhibit.

A network engineer is updating the configuration on router R1 to connect a new branch office to the company network R2 has been configured correctly. Which command must the engineer configure so that devices at the new site communicate with the main office?

A.

ip route 172.25.25 0 255 255 255.0 192.168.2.1

B.

ip route 172.25.25 1 255 255 255 255 g0/1

C.

ip route 172.25.25.0.255.255.255.0.192.168.2.2

Full Access
Question # 42

Which command implies the use of SNMPv3?

A.

snmp-server host

B.

snmp-server community

C.

snmp-server enable traps

D.

snmp-server user

Full Access
Question # 43

What is the primary purpose of a console port on a Cisco WLC?

A.

In-band management via an asynchronous transport

B.

out-of-band management via an IP transport

C.

in-band management via an IP transport

D.

out-of-band management via an asynchronous transport

Full Access
Question # 44

Which protocol should be used to transfer large files on a company intranet that allows TCP ports 20 and 21 through the firewall?

A.

REST API

B.

FTP

C.

SMTP

D.

TFTP

Full Access
Question # 45

Refer to the exhibit.

A new VLAN and switch are added to the network. A remote engineer configures OldSwitch and must ensure that the configuration meets these requirements:

• accommodates current configured VLANs

• expands the range to include VLAN 20

• allows for IEEE standard support for virtual LANs

Which configuration on the NewSwitch side of the link meets these requirements?

A)

B)

C)

D)

A.

Option A

B.

Option B

C.

Option C

D.

Option D

Full Access
Question # 46

Drag and drop the facts about wireless architectures from the left onto the types of access point on the right. Not all options are used.

Full Access
Question # 47

Refer to the exhibit. IPv6 must be implemented on R1 to the ISP The uplink between R1 and the ISP must be configured with a manual assignment, and the LAN interface must be self-provisioned Both connections must use the applicable IPv6 networks Which two configurations must be applied to R1? (Choose two.)

A.

interface Gi0/1ipv6 address 2001:db8:0F1B:FCCB:ACCE:FCED:ABCD:FA02:/127

B.

interface Gi0/0ipv6 address 2001:db8:1:AFFF::/64 eui-64

C.

interface Gi0/1ipv6 address 2001:db8:0F1B:FCCB:ACCE:FCED:ABCD:FA00:/127

D.

interface Gi0/0ipv6 address 2001:db8:0:AFFF::/64 eui-64

E.

interface Gi0/0ipv6 address 2001:db8:0F1B:FCCB:ACCE:FCED:ABCD:FA03;/127

Full Access
Question # 48

Refer to the exhibit.

What is represented by the word "switch’’ in line 2 of the JSON schema?

A.

array

B.

key

C.

value

D.

object

Full Access
Question # 49

Refer to the exhibit.

Which prefix did router R1 learn from internal EIGRP?

A.

192.168.10/24

B.

192.168.3.0/24

C.

192.168.2.0/24

D.

172.16 1.0/24

Full Access
Question # 50

Refer to the exhibit.

When router R1 receives a packet with destination IP address 10.56.0 62. through which interface does it route the packet?

A.

Null0

B.

VIan58

C.

Vlan60

D.

VIan59

Full Access
Question # 51

Drag and drop the IPv6 address details from the left onto the corresponding types on the right.

Full Access
Question # 52

A router received three destination prefixes:10.0.0/18, and 10.0.0/24. When the show ip route command is executed, which output does it return?

A)

B)

C)

D)

A.

Option A

B.

Option B

C.

Option C

D.

Option D

Full Access
Question # 53

A network engineer must configure an interface with IP address 10.10.10.145 and a subnet mask equivalent to 11111111.11111111.11111111.11111000. Which subnet mask must the engineer use?

A.

/29

B.

/30

C.

/27

D.

/28

Full Access
Question # 54

Drag and drop the characteristic from the left onto the IPv6 address type on the right.

Full Access
Question # 55

Which command implies the use of SNMPv3?

A.

snmp-server host

B.

snmp-server community

C.

snmp-server enable traps

D.

snmp-server user

Full Access
Question # 56

By default, how long will the switch continue to know a workstation MAC address after the workstation stops sending traffic?

A.

200 seconds

B.

300 seconds

C.

600 seconds

D.

900 seconds

Full Access
Question # 57

What is an enhancement implemented in WPA3?

A.

employs PKI and RADIUS to identify access points

B.

applies 802.1x authentication and AES-128 encryption

C.

uses TKIP and per-packet keying

D.

defends against deauthentication and disassociation attacks

Full Access
Question # 58

What differentiates the Cisco OfficeExtend AP mode from FlexConnect AP mode?

A.

FlexConnect allows a personal SSID to be configured on the AP, and personal SSIDs are not supported with OfficeExtend.

B.

OfficeExtend does not support DTLS tunneling of traffic to the WLC, and FlexConnect tunnels traffic to the WLC with DTLS.

C.

OfficeExtend tunnels all traffic through the WLC, and FlexConnect terminates client traffic at the AP switch port.

D.

FlexConnect must be deployed behind a router that NATs the client traffic, and OfficeExtend uses public IP sources.

Full Access
Question # 59

What is a difference between an IPv6 multicast address and an IPv6 anycast address?

A.

A packet sent to an IPv6 multicast address is delivered to one or more destinations at once, but a packet sent to an IPv6 anycast address is routed to the closest interface with that address.

B.

An IPv6 multicast address uses the prefix 2002::/15 and forwards to one destination, and an IPv6 anycast address uses the prefix ff00::/8 and forwards to any destination in a group.

C.

IPv6 multicast addresses are used to transition from IPv4 to IPv6, and IPv6 anycast addresses are used for address aggregation in an IPv6-only environment.

D.

An IPv6 multicast address is assigned to numerous interfaces within a subnet, but an IPv6 anycast address is used for a predefined group of nodes in an all-IPv6 routers group.

Full Access
Question # 60

An engineer must configure neighbor discovery between the company router and an ISP

What is the next step to complete the configuration if the ISP uses a third-party router?

A.

Enable LLDP globally.

B.

Disable CDP on gi0/0.

C.

Enable LLDP TLVs on the ISP router.

D.

Disable auto-negotiation.

Full Access
Question # 61

A network engineer must configure an access list on a new Cisco IOS router. The access list must deny HTTP traffic to network 10.125.128.32/27 from the 192.168.240.0/20 network, but it must allow the 192.168.240.0/20 network to reach the rest of the 10.0.0.0/8 network. Which configuration must the engineer apply?

A)

B)

C)

D)

A.

Option A

B.

Option B

C.

Option C

D.

Option D

Full Access
Question # 62

Refer to the exhibit.

The router has been configured with a subnet to accommodate the requirement for 380 users on a subnet. The requirement already considers 30% future growth. Which configuration verifies the IP subnet on router R4?

A.

Subnet: 10.7.54.0Subnet mask: 255.255.254.0Broadcast address: 10.7.54.255Usable IP address range: 10.7.54.1 - 10.7.55.254

B.

Subnet: 10.7.54.0Subnet mask: 255.255.128.0Broadcast address: 10.7.55.255Usable IP address range: 10.7.54.1 - 10.7.55.254

C.

Subnet: 10.7.54.0Subnet mask: 255.255.255.0Broadcast address: 10.7.54.255Usable IP address range: 10.7.54.1 - 10.7.55.254

D.

Subnet: 10.7.54.0Subnet mask: 255.255.254.0Broadcast address: 10.7.55.255Usable IP address range: 10.7.54.1 - 10.7.55.254

Full Access
Question # 63

Drag and drop the wireless architecture benefits from the left onto the architecture types on the right.

Full Access
Question # 64

Which IP header field is changed by a Cisco device when QoS marking is enabled?

A.

Header Checksum

B.

Type of service

C.

DSCP

D.

ECN

Full Access
Question # 65

Refer to the exhibit.

Rooter R1 is added to the network and configured with tie 10 0 0 64/26 and 10.0.20.0/24 subnets However traffic destined for the LAN on R3 is not access. Which command when executed on R1 defines a tunic route to reach the R3 LAN?

A)

B)

C)

A.

Option

B.

Option

C.

Option

Full Access
Question # 66

Refer to the exhibit.

PC A and the file server. Which commend must be configured on switch A to prevent interruption of other communications?

A.

switch port trunk allowed vlan 12

B.

switchport trunk allowed vlan none

C.

switchport trunk allowed vlan add 13

D.

switch port trunk allowed vlan remove 10-11

Full Access
Question # 67

Refer to the exhibit.

The show ip ospf interface command has been executed on R1. How is OSPF configured?

A.

A point-to-point network type is configured.

B.

The default Hello and Dead timers are in use.

C.

There are six OSPF neighbors on this interface.

D.

The interface is not participating in OSPF.

Full Access
Question # 68

Refer to the exhibit. How does router R1 handle traffic to the 172.16.1.4/30 subnet?

A.

It sends all traffic over the path via 172.16.9.5 using 172.16.4.4 as a backup.

B.

It sends all traffic over the path via 172.16.4.4.

C.

It load-balances traffic over 172.16.9.5 and 172.16.4.4.

D.

It sends all traffic over the path via 10.0.1.100

Full Access
Question # 69

Drag and drop the characteristic from the left onto the IPv6 address type on the right.

Full Access
Question # 70

What are two reasons lo configure PortFast on a switch port attached to an end host? (Choose two.)

A.

to enable the number of MAC addresses learned on the port to l

B.

to protect the operation of the port from topology change processes

C.

to enable the pod to enter the forwarding state immediately when the host boots up

D.

to prevent the port from participating in Spanning Tree Protocol operations

E.

to block another switch or host from communicating through the port

Full Access
Question # 71

Refer to the exhibit. Users at a branch office are experiencing application performance issues, poor VoIP audio quality, and slow downloads. What is the cause of the issues?

A.

broadcast storm

B.

overutilization

C.

interface configuration

D.

QoS queuing

Full Access
Question # 72

Drag and drop the statements about AAA from the left onto the corresponding AAA services on the right. Not all options are used.

Full Access
Question # 73

Which PoE mode enables powered-device detection and guarantees power when the device is detected?

A.

dynamic

B.

static

C.

active

D.

auto

Full Access
Question # 74

A network engineer is configuring a switch so that it is remotely reachable via SSH. The engineer has already configured the host name on the router. Which additional command must the engineer configure before entering the command to generate the RSA key?

A.

password password

B.

crypto key generate rsa modulus 1024

C.

ip domain-name domain

D.

ip ssh authentication-retries 2

Full Access
Question # 75

Which two spanning-tree states are bypassed on an interface running PortFast? (Choose two.)

A.

disabled

B.

listening

C.

forwarding

D.

learning

E.

blocking

Full Access
Question # 76

Drag and drop the statements about networking from the left onto the corresponding networking types on the right.

Full Access
Question # 77

Drag and drop the threat-mitigation techniques from the left onto the types of threat or attack they mitigate on the right.

Full Access
Question # 78

Refer to the exhibit.

Traffic sourced from the loopback0 Interface is trying to connect via ssh to the host at 10.0.1.15. What Is the next hop to the destination address?

A.

192.168.0.7

B.

192.168.0.4

C.

192.168.0.40

D.

192.168.3.5

Full Access
Question # 79

Which protocol uses the SSL?

A.

HTTP

B.

SSH

C.

HTTPS

D.

Telnet

Full Access
Question # 80

Refer to the exhibit.

Router R1 resides in OSPF Area 0. After updating the R1 configuration to influence the paths that it will use to direct traffic, an engineer verified that each of the four Gigabit interfaces has the same route to 10.10.0.0/16. Which interface will R1 choose to send traffic to reach the route?

A.

GigabitEthernet0/0

B.

GigabltEthornet0/1

C.

GigabitEthernet0/2

D.

GigabitEthernet0/3

Full Access
Question # 81

What is an expected outcome when network management automation is deployed?

A.

A distributed management plane must be used.

B.

Software upgrades are performed from a central controller

C.

Complexity increases when new device configurations are added

D.

Custom applications are needed to configure network devices

Full Access
Question # 82

A Cisco engineer is configuring a factory-default router with these three passwords:

• The user EXEC password for console access is p4ssw0rd1

• The user EXEC password for Telnet access is s3cr3t2

• The password for privileged EXEC mode is pnv4t3p4ss Which command sequence must the engineer configured

A)

B)

C)

D)

A.

Option A

B.

Option B

C.

Option C

D.

Option D

Full Access
Question # 83

What causes a port to be placed in the err-disabled state?

A.

nothing plugged into the port

B.

link flapping

C.

shutdown command issued on the port

D.

latency

Full Access
Question # 84

Which two network actions occur within the data plane? (Choose two.)

A.

Add or remove an 802.1Q trunking header.

B.

Make a configuration change from an incoming NETCONF RPC.

C.

Run routing protocols.

D.

Match the destination MAC address to the MAC address table.

E.

Reply to an incoming ICMP echo request.

Full Access
Question # 85

What is a function of a Next-Generation IPS?

A.

makes forwarding decisions based on learned MAC addresses

B.

serves as a controller within a controller-based network

C.

integrates with a RADIUS server to enforce Layer 2 device authentication rules

D.

correlates user activity with network events

Full Access
Question # 86

Refer to the exhibit.

All VLANs are present in the VLAN database. Which command sequence must be applied to complete the configuration?

A.

Interface FastEthernet0/1 switchport trunk native vlan 10 switchport trunk allowed vlan 10,15

B.

Interface FastEthernet0/1 switchport mode trunk switchport trunk allowed vlan 10,15

C.

interface FastEthernet0/1 switchport mode access switchport voice vlan 10

D.

Interface FastEthernet0/1 switchport trunk allowed vlan add 10 vlan 10 private-vlan isolated

Full Access
Question # 87

Drag and drop the Rapid PVST+ forwarding slate actions from the loft to the right. Not all actions are used.

Full Access
Question # 88

Refer to the exhibit.

An IP subnet must be configured on each router that provides enough addresses for the number of assigned hosts and anticipates no more than 10% growth for now hosts. Which configuration script must be used?

A)

B)

C)

D)

A.

Option A

B.

Option B

C.

Option C

D.

Option D

Full Access
Question # 89

Refer to the exhibit.

The link between PC1 and the switch is up. but it is performing poorly. Which interface condition is causing the performance problem?

A.

There is a duplex mismatch on the interface

B.

There is an issue with the fiber on the switch interface.

C.

There is a speed mismatch on the interface.

D.

There is an interface type mismatch

Full Access
Question # 90

A Cisco engineer must configure a single switch interface to meet these requirements

• accept untagged frames and place them in VLAN 20

• accept tagged frames in VLAN 30 when CDP detects a Cisco IP phone

Which command set must the engineer apply?

A)

B)

C)

D)

A.

Option A

B.

Option B

C.

Option C

D.

Option D

Full Access
Question # 91

Drag and drop the characteristics of networking from the left onto the networking types on the right.

Full Access
Question # 92

What are two benefits of FHRPs? (Choose two.)

A.

They enable automatic failover of the default gateway.

B.

They allow multiple devices to serve as a single virtual gateway for clients in the network.

C.

They are able to bundle multiple ports to increase bandwidth.

D.

They prevent loops in the Layer 2 network.

E.

They allow encrypted traffic.

Full Access
Question # 93

Which action implements physical access control as part of the security program of an organization?

A.

configuring a password for the console port

B.

backing up syslogs at a remote location

C.

configuring enable passwords on network devices

D.

setting up IP cameras to monitor key infrastructure

Full Access
Question # 94

Drag and drop the descriptions of AAA services from the left onto the corresponding services on the right.

Full Access
Question # 95

Which protocol is used for secure remote CLI access?

A.

HTTPS

B.

HTTP

C.

Telnet

D.

SSH

Full Access
Question # 96

What is a requirement for nonoverlapping Wi-Fi channels?

A.

different security settings

B.

discontinuous frequency ranges

C.

different transmission speeds

D.

unique SSIDs

Full Access
Question # 97

Refer to the exhibit.

Routers R1 and R3 have the default configuration The router R2 priority is set to 99 Which commands on R3 configure it as the DR in the 10.0 4.0/24 network?

A.

R3(config)#interface Gig0/1 R3(config-if)#ip ospf priority 100

B.

R3(config)#interface Gig0/0 R3(config-if)#ip ospf priority 100

C.

R3(config)#interface Gig0/0 R3(config-if)i=ip ospf priority 1

D.

R3(config)#interface Gig0/1 R3(config-if)#ip ospf priority 0

Full Access
Question # 98

What is a function of Opportunistic Wireless Encryption in an environment?

A.

offer compression

B.

increase security by using a WEP connection

C.

provide authentication

D.

protect traffic on open networks

Full Access
Question # 99

Refer to the exhibit.

How should the configuration be updated to allow PC1 and PC2 access to the Internet?

A.

Modify the configured number of the second access list.

B.

Add either the ip nat {inside|outside} command under both interfaces.

C.

Remove the overload keyword from the ip nat inside source command.

D.

Change the ip nat inside source command to use interface GigabitEthernet0/0.

Full Access
Question # 100

A network engineer must configure two new subnets using the address block 10 70 128 0/19 to meet these requirements:

• The first subnet must support 24 hosts

• The second subnet must support 472 hosts

• Both subnets must use the longest subnet mask possible from the address block

Which two configurations must be used to configure the new subnets and meet a requirement to use the first available address in each subnet for the router interfaces? (Choose two )

A.

interface vlan 1234ip address 10.70.159.1 255.255.254.0

B.

interface vlan 1148ip address 10.70.148.1 255.255.254.0

C.

interface vlan 4722ip address 10.70.133.17 255.255.255.192

D.

interface vlan 3002ip address 10.70.147.17 255.255.255.224

E.

interface vlan 155ip address 10.70.155.65 255.255.255.224

Full Access
Question # 101

Refer to the exhibit.

A static route must be configured on R14 to forward traffic for the 172 21 34 0/25 network that resides on R86 Which command must be used to fulfill the request?

A.

ip route 172.21.34.0 255.255.255.192 10.73.65.65

B.

ip route 172.21.34.0 255.255.255.0 10.73.65.65

C.

ip route 172.21.34.0 255.255.128.0 10.73.65.64

D.

ip route 172.21.34.0 255.255.255.128 10.73.65.66

Full Access
Question # 102

Refer to the exhibit.

Which command must be issued to enable a floating static default route on router A?

A.

lp route 0.0.0.0 0.0.0.0 192.168.1.2

B.

ip default-gateway 192.168.2.1

C.

ip route 0.0.0.0 0.0.0.0 192.168.2.1 10

D.

ip route 0.0.0.0 0.0.0.0 192.168.1.2 10

Full Access
Question # 103

Refer to the exhibit.

An engineer has started to configure replacement switch SW1. To verify part of the configuration, the engineer issued the commands as shown and noticed that the entry for PC2 is missing. Which change must be applied to SW1 so that PC1 and PC2 communicate normally?

A)

B)

C)

D)

A.

Option A

B.

Option B

C.

Option C

D.

Option D

Full Access
Question # 104

What is a requirement when configuring or removing LAG on a WLC?

A.

The Incoming and outgoing ports for traffic flow must be specified If LAG Is enabled.

B.

The controller must be rebooted after enabling or reconfiguring LAG.

C.

The management interface must be reassigned if LAG disabled.

D.

Multiple untagged interfaces on the same port must be supported.

Full Access
Question # 105

Refer to the exhibit.

Which two commands when used together create port channel 10? (Choose two.)

A.

int range g0/0-1channel-group 10 mode active

B.

int range g0/0-1 chanm.l-group 10 mode desirable

C.

int range g0/0-1channel-group 10 mode passive

D.

int range g0/0-1 channel-group 10 mode auto

E.

int range g0/0-1 channel-group 10 mode on

Full Access
Question # 106

Which action is taken by the data plane within a network device?

A.

forwards traffic to the next hop

B.

constructs a routing table based on a routing protocol

C.

provides CLI access to the network device

D.

looks up an egress interface in the forwarding information base

Full Access
Question # 107

Refer to the exhibit.

Which switch becomes the root of a spanning tree for VLAN 20 if all li links are of equal speed?

A.

SW1

B.

SW2

C.

SW3

D.

SW4

Full Access
Question # 108

Refer to the exhibit.

Users on existing VLAN 100 can reach sites on the Internet. Which action must the administrator take to establish connectivity to the Internet for users in VLAN 200?

A.

Define a NAT pool on the router.

B.

Configure static NAT translations for VLAN 200.

C.

Configure the ip nat outside command on another interface for VLAN 200.

D.

Update the NAT INSIDF RANGFS ACL

Full Access
Question # 109

Refer to the exhibit.

A company is configuring a failover plan and must implement the default routes in such a way that a floating static route will assume traffic forwarding when the primary link goes down. Which primary route configuration must be used?

A.

ip route 0.0.0.0 0.0.0.0 192.168.0.2 GigabitEthernetl/0

B.

ip route 0.0.0.0 0.0.0.0 192.168.0.2 tracked

C.

ip route 0.0.0.0 0.0.0.0 192.168.0.2 floating

D.

ip route 0.0.0.0 0.0.0.0 192.168.0.2

Full Access
Question # 110

Which type of IPv6 address is similar to a unicast address but is assigned to multiple devices on the same network at the same time?

A.

global unicast address

B.

anycast address

C.

multicast address

D.

link-local address

Full Access
Question # 111

Which value is the unique identifier that an access point uses to establish and maintain wireless connectivity to wireless network devices?

A.

VLANID

B.

SSID

C.

RFID

D.

WLANID

Full Access
Question # 112

Drag and drop the TCP or UDP details from the left onto their corresponding protocols on the right.

Full Access
Question # 113

Refer to the exhibit.

Packets received by the router from BGP enter via a serial interface at 209.165.201.10. Each route is present within the routing table. Which interface is used to forward traffic with a destination IP of 10.10.10.24?

A.

F0/10

B.

F0/11

C.

F0/12

D.

F0/13

Full Access
Question # 114

Refer to the exhibit.

Web traffic is coming in from the WAN interface. Which route takes precedence when the router is processing traffic destined for the LAN network at 10 0.10.0/24?

A.

via next-hop 10.0.1.5

B.

via next-hop 10 0 1.4

C.

via next-hop 10.0 1.50

D.

via next-hop 10.0 1 100

Full Access
Question # 115

What is the purpose of the ip address dhcp command?

A.

to configure an Interface as a DHCP server

B.

to configure an interface as a DHCP helper

C.

to configure an interface as a DHCP relay

D.

to configure an interface as a DHCP client

Full Access
Question # 116

Refer to the exhibit.

An engineer is configuring a new router on the network and applied this configuration. Which additional configuration allows the PC to obtain its IP address from a DHCP server?

A.

Configure the ip dhcp relay information command under interface Gi0/1.

B.

Configure the ip dhcp smart-relay command globally on the router

C.

Configure the ip helper-address 172.16.2.2 command under interface Gi0/0

D.

Configure the ip address dhcp command under interface Gi0/0

Full Access
Question # 117

An engineer is tasked to configure a switch with port security to ensure devices that forward unicasts multicasts and broadcasts are unable to flood the port The port must be configured to permit only two random MAC addresses at a time Drag and drop the required configuration commands from the left onto the sequence on the right Not all commands are used.

Full Access
Question # 118

Refer to the exhibit.

R1 learns all routes via OSPF Which command configures a backup static route on R1 to reach the 192 168.20.0/24 network via R3?

A.

R1(config)#ip route 192.168.20.0 255.255.0.0 192.168.30.2

B.

R1(config)#ip route 192.168.20.0 255.255.255.0 192.168.30.2 90

C.

R1(config)#ip route 192.168.20.0 255.255.255.0 192.168.30.2 111

D.

R1(config)#ip route 192.168.20.0 255.255.255.0 192.168.30.2

Full Access
Question # 119

Refer to the exhibit.

Which two commands must be added to update the configuration of router R1 so that it accepts only encrypted connections? (Choose two )

A.

username CNAC secret R!41!4319115@

B.

ip ssh version 2

C.

line vty 0 4

D.

crypto key generate rsa 1024

E.

transport input ssh

Full Access
Question # 120

R1 as an NTP server must have:

• NTP authentication enabled

• NTP packets sourced from Interface loopback 0

• NTP stratum 2

• NTP packets only permitted to client IP 209.165 200 225

How should R1 be configured?

A)

B)

C)

D)

A.

Option A

B.

Option B

C.

Option C

D.

Option D

Full Access
Question # 121

Refer to the exhibit.

Which plan must be Implemented to ensure optimal QoS marking practices on this network?

A.

As traffic traverses MLS1 remark the traffic, but trust all markings at the access layer.

B.

Trust the IP phone markings on SW1 and mark traffic entering SW2 at SW2.

C.

Remark traffic as it traverses R1 and trust all markings at the access layer.

D.

As traffic enters from the access layer on SW1 and SW2. trust all traffic markings.

Full Access
Question # 122

Refer to the exhibit.

A network engineer must update the configuration on Switch2 so that it sends LLDP packets every minute and the information sent via LLDP is refreshed every 3 minutes Which configuration must the engineer apply?

A)

B)

C)

D)

A.

Option A

B.

Option B

C.

Option C

D.

Option D

Full Access
Question # 123

What provides centralized control of authentication and roaming In an enterprise network?

A.

a lightweight access point

B.

a firewall

C.

a wireless LAN controller

D.

a LAN switch

Full Access
Question # 124

Refer to the exhibit.

An engineer is updating the R1 configuration to connect a new server to the management network. The PCs on the management network must be blocked from pinging the default gateway of the new server. Which command must be configured on R1 to complete the task?

A.

R1(config)#lp route 172.16.2.2 255.255.255.248 gi0/1

B.

R1(config)#jp route 172.16.2.2 255.255.255.255 gi0/0

C.

R1(config>#ip route 172.16.2.0 255.255.255.0 192.168.1.15

D.

R1(conflg)#ip route 172.16.2.0 255.255.255.0 192.168.1.5

Full Access
Question # 125

Refer to the exhibit.

Site A was recently connected to site B over a new single-mode fiber path. Users at site A report Intermittent connectivity Issues with applications hosted at site B. What is the reason for the problem?

A.

Heavy usage is causing high latency.

B.

An incorrect type of transceiver has been inserted into a device on the link.

C.

physical network errors are being transmitted between the two sites.

D.

The wrong cable type was used to make the connection.

Full Access
Question # 126

Which QoS traffic handling technique retains excess packets in a queue and reschedules these packets for later transmission when the configured maximum bandwidth has been surpassed?

A.

weighted random early detection

B.

traffic policing

C.

traffic shaping

D.

traffic prioritization

Full Access
Question # 127

Refer to the exhibit.

The DHCP server and clients are connected to the same switch. What is the next step to complete the DHCP configuration to allow clients on VLAN 1 to receive addresses from the DHCP server?

A.

Configure the ip dhcp snooping trust command on the interlace that is connected to the DHCP client.

B.

Configure the ip dhcp relay information option command on the interface that is connected to the DHCP client.

C.

Configure the ip dhcp snooping trust command on the interface that is connected to the DHCP server.

D.

Configure the Ip dhcp relay information option command on the interface that is connected to the DHCP server.

Full Access
Question # 128

A network engineer must implement an IPv6 configuration on the vlan 2000 interface to create a routable locally-unique unicast address that is blocked from being advertised to the internet. Which configuration must the engineer apply?

A.

interface vlan 2000ipv6 address ffc0:0000:aaaa::1234:2343/64

B.

interface vlan 2000Ipv6 address fc00:0000:aaaa:a15d:1234:2343:8aca/64

C.

interface vlan 2000ipv6 address fe80;0000:aaaa::1234:2343/64

D.

interface vlan 2000ipv6 address fd00::1234:2343/64

Full Access
Question # 129

A network engineer is installing an IPv6-only capable device. The client has requested that the device IP address be reachable only from the internal network. Which type of IPv6 address must the engineer assign?

A.

unique local address

B.

link-local address

C.

aggregatable global address

D.

IPv4-compatible IPv6 address

Full Access
Question # 130

Refer to the exhibit.

Which two configurations must the engineer apply on this network so that R1 becomes the DR? (Choose two.)

A)

B)

C)

D)

E)

A.

Option A

B.

Option B

C.

Option C

D.

Option D

E.

Option E

Full Access
Question # 131

Which characteristic differentiates the concept of authentication from authorization and accounting?

A.

user-activity logging

B.

service limitations

C.

consumption-based billing

D.

identity verification

Full Access
Question # 132

What is one reason to implement LAG on a Cisco WLC?

A.

to increase security and encrypt management frames

B.

to provide link redundancy and load balancing

C.

to allow for stateful and link-state failover

D.

to enable connected switch ports to failover and use different VLANs

Full Access
Question # 133

What is the function of the controller in a software-defined network?

A.

multicast replication at the hardware level

B.

fragmenting and reassembling packets

C.

making routing decisions

D.

forwarding packets

Full Access
Question # 134

Refer to the exhibit.

Host A sent a data frame destined for host D

What does the switch do when it receives the frame from host A?

A.

It drops the frame from the switch CAM table.

B.

It floods the frame out of all ports except port Fa0/1.

C.

It shuts down the port Fa0/1 and places it in err-disable mode.

D.

It experiences a broadcast storm.

Full Access
Question # 135

Which two components comprise part of a PKI? (Choose two.)

A.

preshared key that authenticates connections

B.

RSA token

C.

CA that grants certificates

D.

clear-text password that authenticates connections

E.

one or more CRLs

Full Access
Question # 136

Refer to the exhibit.

Traffic that is flowing over interface TenGigabitEthernet0/0 experiences slow transfer speeds. What is the reason for the issue?

A.

heavy traffic congestion

B.

a duplex incompatibility

C.

a speed conflict

D.

queuing drops

Full Access
Question # 137

OSPF must be configured between routers R1 and R2. Which OSPF configuration must be applied to router R1 to avoid a DR/BDR election?

A.

router ospf 1network 192.168.1.1 0.0.0.0 area 0interface e1/1ip address 192.168.1.1 255.255.255.252ip ospf network broadcast

B.

router ospf 1network 192.168.1.1 0.0.0.0 area 0interface e1/1ip address 192.168.1.1 255.255.255.252ip ospf network point-to-point

C.

router ospf 1network 192.168.1.1 0.0.0.0 area 0interface e1/1ip address 192.168.1.1 255.255.255.252ip ospf cost 0

D.

router ospf 1network 192.168.1.1 0.0.0.0 area 0hello interval 15interface e1/1Ip address 192.168.1.1 255.255.255.252

Full Access
Question # 138

Refer to the exhibit.

An engineer is configuring an EtherChannel using LACP between Switches 1 and 2 Which configuration must be applied so that only Switch 1 sends LACP initiation packets?

A.

Switch 1 (config-if)#channel-group 1 mode onSwrtch2(config-if)#channel-group 1 mode passive

B.

Switch1(config-if)#channel-group 1 mode passiveSwitch2(config-if)#channel-group 1 mode active

C.

Switch1{config-if)£channel-group 1 mode activeSwitch2(config-if)#channel-group 1 mode passive

D.

Switch1(config-if)#channel-group 1 mode onSwitch2(config-if)#channel-group 1 mode active

Full Access
Question # 139

Refer to the exhibit.

Which network prefix was learned via EIGRP?

A.

172.16.0.0/16

B.

192.168.2.0/24

C.

207.165.200.0/24

D.

192.168.1.0/24

Full Access
Question # 140

Refer to the exhibit.

Which route must be configured on R1 so that OSPF routing is used when OSPF is up. but the server is still reachable when OSPF goes down?

A.

ip route 10.1.1.10 255.255.255.255 172.16.2.2 100

B.

ip route 10.1.1.0 255.255.255.0 gi0/1 125

C.

ip route 10.1.1.0 255.255.255.0 172.16.2.2 100

D.

ip route 10.1.1.10 255.255.255.255 gi0/0 125

Full Access
Question # 141

Which WLC management connection type is vulnerable to man-in-the-middle attacks?

A.

SSH

B.

HTTPS

C.

Telnet

D.

console

Full Access
Question # 142

Refer to the exhibit.

The router has been configured with a supernet to accommodate the requirement for 380 users on a subnet The requirement already considers 30% future growth. Which configuration verifies the IP subnet on router R4?

A)

B)

C)

D)

A.

Option A

B.

Option B

C.

Option C

D.

Option D

Full Access
Question # 143

Refer to the exhibit.

Which minimum configuration items are needed to enable Secure Shell version 2 access to R15?

A)

B)

C)

D)

A.

Option A

B.

Option B

C.

Option C

D.

Option D

Full Access
Question # 144

Refer to the exhibit. An administrator must connect SW_1 and the printer to the network. SW_2 requires DTP to be used for the connection to SW_1. The printer is configured as an access port with VLAN 5. Which set of commands completes the connectivity?

A.

switchport mode dynamic autoswitchport private-vlan association host 5

B.

switchport mode dynamic autoswitchport trunk encapsulation negotiate

C.

switchport mode dynamic desirableswitchport trunk allowed vlan add 5

D.

switchport mode trunkswitchport trunk pruning vlan add 5

Full Access
Question # 145

Which feature Is mandatory when configuring a new SSID for a wireless network running WPA3-Personal mode?

A.

Opportunistic Wireless Encryption

B.

Protected Management Frame

C.

Enhanced Open

D.

Fast Transition

Full Access
Question # 146

Which interface is used to send traffic to the destination network?

10.90.207.87/26 [110/1912] via F0/7

10.90.207.87/26 [110/28968] via F0/6

10.90.207.87/26 [120/14] via F0/4

10.90.207.87/26 [120/11] via F0/5

A.

F0/7

B.

F0/5

C.

F0/4

D.

F0/6

Full Access
Question # 147

IP connectivity and OSPF are preconfigured on all devices where necessary. Do not make any changes to the IP addressing or OSPF. The company policy uses connected interfaces and next hops when configuring static routes except for load balancing or redundancy without floating static. Connectivity must be established between subnet 172.20.20.128/25 on the Internet and the LAN at 192.168.0.0/24 connected to SW1:

1. Configure reachability to the switch SW1 LAN subnet in router R2.

2. Configure default reachability to the Internet subnet in router R1.

3. Configure a single static route in router R2 to reach to the Internet subnet considering both redundant links between routers R1 and R2. A default route is NOT allowed in router R2.

4. Configure a static route in router R1 toward the switch SW1 LAN subnet where the primary link must be through Ethernet0/1. and the backup link must be through Ethernet0/2 using a floating route. Use the minimal administrative distance value when required.

Full Access
Question # 148

Refer to the exhibit.

How does router R1 forward packets destined to 10.0.4.10?

A.

via 10.0.4.2

B.

via 10.0.0.2

C.

via FastEthernet0/1

D.

via FastEthernet1/1

Full Access
Question # 149

Which technology allows for logical Layer 3 separation on physical network equipment?

A.

Virtual Route Forwarding

B.

Virtual Switch System

C.

IPsec Transport Mode

D.

Time Division Multiplexer

Full Access
Question # 150

How does MAC learning function?

A.

Enabled by default on all VLANs and interfaces

B.

Forwards frames to a neighbor port using CDP

C.

Overwrites the known source MAC address in the address table

D.

Protects against denial of service attacks

Full Access
Question # 151

Refer to the exhibit. Which next hop is used to route packets to the application server at 152.168.32.85?

A.

10.10.1.2

B.

10.10.2.2

C.

10.10.3.2

D.

10.10.4.2

Full Access
Question # 152

What are two benefits of private IPv4 addressing? (Choose two.)

A.

provides external internet network connectivity

B.

provides unlimited address ranges

C.

propagates routing information to WAN links

D.

reuses addresses at multiple sites

E.

conserves globally unique address space

Full Access
Question # 153

Refer to the exhibit. Which configuration enables SW2 to establish an LACP EtherChannel?

A.

B.

B.

C.

C.

D.

D.

Full Access
Question # 154

Which security element uses a combination of one-time passwords, a login name, and a personal smartphone?

A.

software-defined segmentation

B.

multifactor authentication

C.

attribute-based access control

D.

rule-based access control

Full Access
Question # 155

Which default condition must be considered when an encrypted mobility tunnel is used between two Cisco WLCs?

A.

TCP port 443 and UDP 21 are used.

B.

Control and data traffic encryption are enabled.

C.

The tunnel uses the IPsec protocol for encapsulation.

D.

The tunnel uses the EolP protocol to transmit data traffic.

Full Access
Question # 156

Which two northbound APIs are found in a software-defined network? (Choose two.)

A.

OpenFlow

B.

REST

C.

OpFlex

D.

SOAP

E.

NETCONF

Full Access
Question # 157

All physical cabling between the two switches is installed. Configure the network connectivity between the switches using the designated VLANs and interfaces.

1. Configure VLAN 100 named Compute and VLAN 200 named Telephony where required for each task.

2. Configure Ethernet0/1 on SW2 to use the existing VLAN named Available.

3. Configure the connection between the switches using access ports.

4. Configure Ethernet0/1 on SW1 using data and voice VLANs.

5. Configure Ethemet0/1 on SW2 so that the Cisco proprietary neighbor discovery protocol is turned off for the designated interface only.

Full Access
Question # 158

Which switch port configuration must be configured when connected to an AP running in FlexConnect mode, and the WLANs use flex local switching?

A.

access port with one VLAN

B.

trunk port with pruned VLANs

C.

Layer 3 port with an IP address

D.

tagged port with MAC Filtering enabled

Full Access
Question # 159

Drag and drop the characteristic from the left onto the cable type on the right.

Full Access
Question # 160

Refer to the exhibit. The static routes were implemented on the border router. What is the next hop IP address for a ping sent to 172.16.153.154 from the border router?

A.

10.56.65.56

B.

10.56.65.65

C.

10.65.56.56

D.

10.65.65.65

Full Access
Question # 161

Which technology allows multiple operating systems lo run a single physical server?

A.

cloud computing

B.

virtualization

C.

application hosting

D.

containers

Full Access
Question # 162

Refer to the exhibit. How must OSPF be configured on the GigabitEthernet0/0 interface of the neighbor device to achieve the desired neighbor relationship?

A.

Router(config)#interface GigabitEthernet 0/0Router(config-if)#ip ospf network point-to-point

B.

Router(config)#interface GigabitEthernet 0/0Router(config-if)#ip ospf cost 5

C.

Router(config)#interface GigabitEthernet 0/0Router(config-if)#ip ospf 1 area 2

D.

Router(config)#interface GigabitEthernet 0/0Router(config-if)#ip ospf priority 1

Full Access
Question # 163

What is a function of a northbound API in an SDN environment?

A.

It supports distributed processing for configuration.

B.

It relies on global provisioning and configuration.

C.

It upgrades software and restores files.

D.

It provides orchestration and network automation services.

Full Access
Question # 164

Refer to the exhibit. What is the administrative distance for the advertised prefix that includes the host IP address 192.168.20.1?

A.

0

B.

192.168.10.2

C.

24

D.

1

Full Access
Question # 165

Why would a network administrator choose to implement RFC 1918 address space?

A.

to route traffic on the internet

B.

to provide flexibility in the IP network design

C.

to provide overlapping address space with another network

D.

to limit the number of hosts on the network

Full Access
Question # 166

How is Al used to identify issues within network traffic?

A.

II exclusively predicts device malfunctions.

B.

It enhances data packet delivery speeds.

C.

It simplifies traffic route mapping.

D.

It analyzes patterns for anomaly detection.

Full Access
Question # 167

What is an advantage of using SDN versus traditional networking when it comes to security?

A.

SDN security is managed near the perimeter of the network with firewalls, VPNs, and IPS, and traditional networking security policies are created based on telemetry data.

B.

SDN exposes an API to configure locally per device for security policies, and traditional networking uses northbound API for network admin interface for configuring security policies.

C.

SDN creates a unified control point making security policies consistent across all devices, and traditional networking must be configured device by device, leaving room for error.

D.

SDN devices communicate with each other to establish a security policy, and in traditional networking, devices communicate upstream to a central location to establish a security policy.

Full Access
Question # 168

What differentiates the TCP and UDP protocols?

A.

TCP tracks segments being transmitted or received by assigning segment numbers, and UDP adjusts data flow according to network conditions.

B.

TCP establishes a connection with the device on the other end before transferring, and UDP transfers without establishing a connection.

C.

TCP sends data at a constant rate with error checking on upper protocol layers, and UDP provides error-checking and sequencing.

D.

TCP immediately transmits data without waiting for a handshake, and UDP awaits a response from the receiver before sending additional data.

Full Access
Question # 169

Which fact must the engineer consider when implementing syslog on a new network?

A.

Syslog defines the software or hardware component that triggered the message.

B.

There are 16 different logging levels (0-15).

C.

By default, all message levels are sent to the syslog server.

D.

The logging level defines the severity of a particular message.

Full Access
Question # 170

What is the function of generative AI in network operations?

A.

It disables unused services.

B.

It deploys network firmware updates.

C.

It creates synthetic network configurations.

D.

It computes optimal data storage solutions.

Full Access
Question # 171

Refer to the exhibit. Which two commands, when configured on router R1. fulfill these requirements? (Choose two.) ' Packets toward the entire network 2001:db8:23: :/64 must be forwarded through router R2. ' Packets toward host 2001: db8:23::14 preferably must be forwarded through R3.

A.

ipv6 route 2001:db8:23: :/128 fd00:12::2

B.

Ipv6 route 2001:db8:23::14/128 fd00:13::3

C.

ipv6 route 2001:db8:23::14/64 fd00:12::2 200

D.

ipv6 route 2001:db8:23: l4/64 fd00:12::2

E.

ipv6 route 2001:db8:23: :/64 fd00:12::2

Full Access
Question # 172

Which action prevents debug messages from being sent via syslog while allowing other messages when an abnormally high number of syslog messages are generated by a device with the debug process turned on?

A.

Use an access list to filter out the syslog messages.

B.

Turn off the logging monitor in global configuration mode.

C.

Disable logging to the console.

D.

Set the logging trap severity level to informational.

Full Access
Question # 173

Which AP feature provides a captive portal for users to authenticate, register, and accept terms before accessing the internet?

A.

Whole Home

B.

Hotspot

C.

One-Click

D.

Enhanced Bluetooth

Full Access
Question # 174

What is a function of Layer 3 switches?

A.

They route traffic between devices in different VLANs.

B.

They forward Ethernet frames between VLANs using only MAC addresses.

C.

They move frames between endpoints limited to IP addresses.

D.

They transmit broadcast traffic when operating in Layer 3 mode exclusively.

Full Access
Question # 175

Refer to the exhibit.

What is the metric for the route to the 192.168.10.33 host?

A.

84

B.

110

C.

192

D.

193

Full Access
Question # 176

Which role do predictive Al models play in network load balancing?

A.

They anticipate future traffic spikes.

B.

They assign IP addresses to devices.

C.

They select correct cabling types for deployment.

D.

They solely monitor historical traffic volumes.

Full Access
Question # 177

What is a reason to implement HSRP on a network?

A.

to Identify the closest hop to the default gateway In a LAN network

B.

to provide load balancing over multiple gateways in a LAN network

C.

to optimally route traffic based on the forwarding capacity of the edge routing devices in the LAN network

D.

to ensure that user traffic in a LAN rapidly recovers from the failure of an edge routing device

Full Access
Question # 178

Refer to the exhibit. Inter-VLAN routing is configured on SW1. Client A is running Linux as an OS in VLAN 10 with a default gateway IP 10.0.0.1 but cannot ping client B in VLAN 20 running Windows. What action must be taken to verify that client A has the correct IP settings?

A.

Run the ipconfig command on client A and ensure that the IP address is within the host range of 10.0.0.1 - 10.0.255.254.

B.

Run the ifconfig command on client A to confirm that its IP and subnet mask fall within 255.254.0.0.

C.

Run the ipconfig command on client A to confirm that the correct 10.0.0.1 default gateway is used.

D.

Run the ifconfig command on client A to confirm that the subnet mask is set to 255.255.128.0.

Full Access
Question # 179

Drag and drop the characteristic from the left onto the IPv6 address type on the right.

Full Access
Question # 180

A default route must be configured to temporarily use a local broadband modem with the IP address of 192.168.1.1 until a WAN circuit is installed. The WAN circuit will use an external routing protocol that exchanges network prefixes between two separate autonomous systems on the Internet. Only a default route will be received by the ISP Which configuration must be applied to allow the new WAN circuit to take precedence when It Is In place?

A.

Ip route 0.0.0.0 0.0.0.0 192.168.1.1

B.

Ip route 0.0.0.0 0.0.0.0 192.168.1.1 25

C.

Ip route 0.0.0.0 0.0.0.0 192.168.1.1 track 1

D.

Ip route 0.0.0.0 0.0.0.0 192.168.1.1 20

Full Access
Question # 181

An engineer requires a switch interface to actively attempt to establish a trunk link with a neighbor switch. What command must be configured?

A.

switchport mode dynamic desirable

B.

switchport mode trunk

C.

switchport nonegotiate

D.

switchport mode dynamic auto

Full Access
Question # 182

Connectivity between four routers has been established. IP connectivity must be configured in the order presented to complete the implementation. No dynamic routing protocols are included.

1. Configure static routing using host routes to establish connectivity from router R3 to the router R1 Loopback address using the source IP of 209.165.200.230.

2. Configure an IPv4 default route on router R2 destined for router R4.

3. Configure an IPv6 default router on router R2 destined for router R4.

Full Access
Question # 183

Which interface is used to send traffic to the destination network?

O 10.76.170 161/26 |110/102] via FO/17

O 10.76.170 161/26[110/27e31] via FO/20

R 10.76.170.161/261120/15] via FO/8

R 10.76.170.161/26 [120/10] via FO/12

A.

F0/8

B.

FO/20

C.

FO/12

D.

FO/17

Full Access
Question # 184

Refer to the exhibit. An administrator is configuring a new WLAN for a wireless network that has these requirements:

    Dual-band clients that connect to the WLAN must be directed to the 5-GHz spectrum.

    Wireless clients on this WLAN must be able to apply VLAN settings from RADIUS attributes.

Which two actions meet these requirements? (Choose two.)

A.

Enable the Aironet IE option.

B.

Enable the Coverage Hole Detection option.

C.

Set the MFP Client Protection option to Required

D.

Enable the client band select option.

E.

Enable the allow AAA Override option

Full Access
Question # 185

Which interface condition is occurring in this output?

A.

duplex mismatch

B.

queueing

C.

bad NIC

D.

broadcast storm

Full Access
Question # 186

Why are API keys used to enforce rate limiting?

A.

to uniquely identify clients to monitor their usage patterns

B.

to encrypt data to prevent excessive usage

C.

to contain embedded permissions that automatically expire

D.

to track the geographical location of each request

Full Access
Question # 187

Refer to the exhibit. What is the administrative distance for the advertised prefix that includes the host IP address 10.30.0.1?

A.

10.0.0.2

B.

110

C.

30

D.

2

Full Access
Question # 188

Which interface on the WLC is used exclusively as a DHCP relay?

A.

distribution

B.

service

C.

AP-manager

D.

virtual

Full Access
Question # 189

Refer to the exhibit.

What is the correct next hop for router R1 to reach IP addresses 192.168.2.86 and 10.20.1.50?

A.

172.16.1.4

B.

172.16.1.1

C.

172.16.1.2

D.

172.16.1.3

Full Access
Question # 190

Refer to the exhibit.

Users will be using a preconfigured secret key and SSID and must have a secured key hashing algorithm configured. The AAA server must not be used for the user authentication method. Which action completes the task?

A.

Enable AutoConfig iPSK.

B.

SetCCMP128(AES).

C.

Configure PSK Format HEX with key string.

D.

Configure PSK-SHA2.

Full Access
Question # 191

Refer to the exhibit. A secondary route is required on router R1 to pass traffic to the LAN network on R2 if the primary link fails. Which command must be entered to configure the router?

A.

ip route 10.0.2.0 255.255.255.240 10.0.0.7 92

B.

ip route 10.0.2.0 255.255.255.248 10.0.0.6 91

C.

ip route 10.0.2.0 256.255.255.240 10.0.0.6 91

D.

ip route 10.0.2.0 255.255.255.248 null0 93

Full Access
Question # 192

Refer to the exhibit. The routers R1-LAB and R2-LAB are configured with link-local addresses. What command must be applied to interface Gi0/0 on R1-LAB for an automated address self-assignment on the IPv6 network?

A.

ipv6 address 2001:db8:1:0FFA:0::/64

B.

ipv6 address 2001:db8:0:0FFA::1/64

C.

ipv6 address 2001:db8:0:0FFA::/64 eui-64

D.

ipv6 address 2001:db8:0:0FFA::/64 anycast

Full Access
Question # 193

What is a characteristic of a Layer 2 switch?

A.

Uses routers to create collision domains

B.

Responsible for sending data in a particular sequence

C.

Avoids MAC address storage for faster transmission

D.

Uses the data link layer for communications

Full Access
Question # 194

Refer to the exhibit. A packet sourced from 10.10.10.1 is destined for 172.16.3.254. What is the subnet mask of the destination route?

A.

0.0.0.0

B.

255.255.254.0

C.

255.255.255.0

D.

255.255.255.255

Full Access
Question # 195

What is represented by the word "switch" within this JSON schema?

A.

array

B.

value

C.

key

D.

object

Full Access
Question # 196

Refer to the exhibit.

What is occurring on this switch?

A.

A high number of frames smaller than 64 bytes are received.

B.

Frames are dropped after 16 failed transmission attempts.

C.

The internal transmit buffer is overloaded.

D.

An excessive number of frames greater than 1518 bytes are received.

Full Access
Question # 197

Refer to the exhibit. A guest WLAN must be created that prompts the client for a username and password on the local web page of the WLC. Which two actions must be performed on the Layer 2 tab before enabling the Authentication option on the Layer 3 tab? (Choose two.)

A.

Uncheck the WPA Policy option check box, and check the WPA2 Policy option check box.

B.

Uncheck the MAC Filtering option check box.

C.

Change the WPA Encryption option from TKIP to CCMP(128AES).

D.

Set the Security Type option to Personal.

E.

Set the Layer 2 Security option to None.

Full Access
Question # 198

Which two QoS tools provide congestion management? (Choose two.)

A.

PBR

B.

FRTS

C.

PQ

D.

CBWFQ

E.

CAR

Full Access
Question # 199

What is a characteristic of a Layer 2 switch?

A.

Maintains stateful transaction information

B.

Responsible for sending data in a particular sequence

C.

Makes forwarding decisions based on MAC addresses

D.

Filters based on a transport layer protocol

Full Access
Question # 200

Connectivity between three routers has been established, and IP services must be configured jn the order presented to complete the implementation Tasks assigned include configuration of NAT, NTP, DHCP, and SSH services.

1. All traffic sent from R3 to the R1 Loopback address must be configured for NAT on R2. All source addresses must be translated from R3 to the IP address of Ethernet0/0 on R2, while using only a standard access list named NAT To verify, a ping must be successful to the R1 Loopback address sourced from R3. Do not use NVI NAT configuration.

2. Configure R1 as an NTP server and R2 as a client, not as a peer, using the IP address of the R1 Ethernet0/2 interface. Set the clock on the NTP server for midnight on January 1, 2019.

3. Configure R1 as a DHCP server for the network 10.1.3.0/24 in a pool named TEST. Using a single command, exclude addresses 1-10 from the range. Interface Ethernet0/2 on R3 must be issued the IP address of 10.1.3.11 via DHCP.

4. Configure SSH connectivity from R1 to R3, while excluding access via other remote connection protocols. Access for user root and password Cisco must be set on router R3 using RSA and 1024 bits. Verify connectivity using an SSH session from router R1 using a destination address of 10.1.3.11. Do NOT modify console access or line numbers to accomplish this task.

Full Access
Question # 201

Refer to the exhibit.

An engineer must document all Wi-Fi services on a new wireless LAN controller. The Wi-Fi SSID "Office_WLan" has Layer 2 Security. What is determined by this configuration?

A.

There is a strong mutual authentication used between NAC and the network devices using x.509 standard.

B.

There is an extra layer of security that ensures only authorized devices with known MAC addresses connect to the network.

C.

There is a robust security mechanism configured to protect against various Layer 2 and Layer 3 attacks.

D.

There is Galois cache algorithm configured that provides strong encryption and authentication.

Full Access
Question # 202

What is a characteristic of an SSID in wireless networks?

A.

provides protection against spyware

B.

eliminates network piggybacking

C.

associates a name to a wireless network

D.

allows easy file sharing between endpoints

Full Access
Question # 203

What is the main capability of multifactor authentication?

A.

Identifying permissions for end users using three authentication factors

B.

Authenticating and authorizing end users using two authentication factors

C.

Confirming end-user identity using two or more authentication factors

D.

Verifying end-user access permissions using two authentication factors

Full Access
Question # 204

Which interface is used to send traffic to the destination network?

O 10.18.75.113/27 [110/6906] via GO/6

O 10.18.75.113/27 [110/23018] via GO/3

R 10.18.75.113/27 [120/16] via GO/16

R 10.18.75.113/27 [120/14] via GO/23

A.

G0/23

B.

G0/3

C.

G0/16

D.

G0/6

Full Access
Question # 205

Refer to the exhibit. Which tasks must be performed on the Download File tab to install new software using TCP port 22?)

A.

Set the File Type to Code, set the Transfer Mode to SFTP, and specify the IP address of the WLC.

B.

Set the File Type to Configuration, set the Transfer Mode to FTP, and specify the IP address of the file server.

C.

Set the File Type to Code, set the Transfer Mode to SFTP, and specify the IP address of the file server.

D.

Set the File Type to Configuration, set the Transfer Mode to SFTP, and specify the IP address of the WLC.

Full Access
Question # 206

How does MAC learning function?

A.

inserts MAC addresses dynamically into the CAM table

B.

restricts ports to a maximum of 10 dynamically-learned addresses

C.

protects against denial of service attacks

D.

rewrites the source and destination MAC address

Full Access
Question # 207

Which role does AI play in monitoring network data flow?

A.

It analyzes patterns for anomaly detection.

B.

It exclusively predicts device malfunctions.

C.

It simplifies traffic route mapping.

D.

It enhances data packet delivery speeds.

Full Access
Question # 208

Physical connectivity is implemented between the two Layer 2 switches,

and the network connectivity between them must be configured.

I . Configure an LACP EtherChanneI and number it as 44; configure it

between switches SWI and SW2 using interfaces EthernetO/O and

Ethernet0/1 on both sides. The LACP mode must match on both ends.

2. Configure the EtherChanneI as a trunk link.

3. Configure the trunk link with 802. Iq tags.

4. Configure VLAN 'MONITORING' as the untagged VLAN of the

EtherChannel.

==================

Guidelines

This is a lab item in which tasks will be performed on virtual devices.

• Refer to the Tasks tab to view the tasks for this lab item.

• Refer to the Topology tab to access the device console(s) and perform the tasks.

• Console access is available for all required devices by clicking the device icon or using

the tab(s) above the console window.

• All necessary preconfigurations have been applied.

• Do not change the enable password or hostname for any device.

• Save your configurations to NVRAM before moving to the next item.

• Click Next at the bottom of the screen to submit this lab and move to the next question.

• When Next is clicked, the lab closes and cannot be reopened.

Full Access
Question # 209

Refer to the exhibit. What is the value of the administrative distance for the default gateway?

A.

10

B.

0

C.

1

D.

110

Full Access
Question # 210

What is a characteristic of encryption in wireless networks?

A.

uses a unidirectional handshake for authentication

B.

Intercepts data threats before they attack a network

C.

uses integrity checks to identify forgery attacks

D.

prevents intercepted data from being easily read

Full Access
Question # 211

What is a characteristic of private IPv4 addressing?

A.

alleviates the shortage of IPv4 addresses

B.

reduces the forwarding table on network routers

C.

enables secure connectivity over the internet

D.

used as the NAT outside global IP address

Full Access
Question # 212

Refer to the exhibit. What is preventing host A from reaching the internet?

A.

The domain name server is unreachable.

B.

LAN and WAN network segments are different.

C.

IP address assignment is incorrect.

D.

The default gateway should be the first usable IP address.

Full Access
Question # 213

What is a characteristic of a Layer 2 switch?

A.

tracks the number of active TCP connections

B.

transmits exclusively at half duplex

C.

offers link bundling to servers

D.

uses routers to create collision domains

Full Access
Question # 214

What are two behaviors of a point-to-point WAN topology? (Choose two.)

A.

It uses a single router to route traffic between sites.

B.

It leverages a dedicated connection.

C.

It connects remote networks through a single line.

D.

t delivers redundancy between the central office and branch offices.

E.

It provides direct connections between each router in the topology.

Full Access
Question # 215

Which key function is provided by the data plane?

A.

Making routing decisions

B.

Originating packets

C.

Forwarding traffic to the next hop

D.

Exchanging routing table data

Full Access
Question # 216

Refer to the exhibit.

What action establishes the OSPF neighbor relationship without forming an adjacency?

A.

modify hello interval

B.

modify process ID

C.

modify priority

D.

modify network type

Full Access
Question # 217

Refer to the exhibit.

Which command configures a floating static route to provide a backup to the primary link?

A.

ip route 0.0.0.0 0.0.0.0 209.165.202.131

B.

ip route 209.165.201.0 255.255.255.224 209.165.202.130

C.

ip route 0.0.0.0 0.0.0.0 209.165.200.224

D.

ip route 209.165.200.224 255.255.255.224 209.165.202.129 254

Full Access
Question # 218

A network administrator enabled port security on a switch interface connected to a printer. What is the next configuration action in order to allow the port to learn the MAC address of the printer and insert it into the table automatically?

A.

enable dynamic MAC address learning

B.

implement static MAC addressing.

C.

enable sticky MAC addressing

D.

implement auto MAC address learning

Full Access
Question # 219

A packet is destined for 10.10.1.22. Which static route does the router choose to forward the packet?

A.

ip route 10.10.1.0 255.255.255.240 10.10.255.1

B.

ip route 10.10.1.16 255.255.255.252 10.10.255.1

C.

ip route 10.10.1.20 255.255.255.252 10.10.255.1

D.

ip route 10.10.1.20 255.255.255.254 10.10.255.1

Full Access
Question # 220

R1 has learned route 10.10.10.0/24 via numerous routing protocols. Which route is installed?

A.

route with the lowest cost

B.

route with the next hop that has the highest IP

C.

route with the shortest prefix length

D.

route with the lowest administrative distance

Full Access
Question # 221

How does CAPWAP communicate between an access point in local mode and a WLC?

A.

The access point must directly connect to the WLC using a copper cable

B.

The access point must not be connected to the wired network, as it would create a loop

C.

The access point must be connected to the same switch as the WLC

D.

The access point has the ability to link to any switch in the network, assuming connectivity to the WLC

Full Access
Question # 222

What is a function of TFTP in network operations?

A.

transfers a backup configuration file from a server to a switch using a username and password

B.

transfers files between file systems on a router

C.

transfers a configuration files from a server to a router on a congested link

D.

transfers IOS images from a server to a router for firmware upgrades

Full Access
Question # 223

What is a difference between RADIUS and TACACS+?

A.

RADIUS is most appropriate for dial authentication, but TACACS+ can be used for multiple types of authentication

B.

TACACS+ encrypts only password information and RADIUS encrypts the entire payload

C.

TACACS+ separates authentication and authorization, and RADIUS merges them

D.

RADIUS logs all commands that are entered by the administrator, but TACACS+ logs only start, stop, and interim commands

Full Access
Question # 224

Which two QoS tools provides congestion management? ( Choose two )

A.

CAR

B.

CBWFQ

C.

PQ

D.

PBR

E.

FRTS

Full Access
Question # 225

Which two primary drivers support the need for network automation? (Choose two.)

A.

Eliminating training needs

B.

Increasing reliance on self-diagnostic and self-healing

C.

Policy-derived provisioning of resources

D.

Providing a ship entry point for resource provisioning

E.

Reducing hardware footprint

Full Access
Question # 226

Which network plane is centralized and manages routing decisions?

A.

policy plane

B.

management plane

C.

control plane

D.

data plane

Full Access
Question # 227

What are two descriptions of three-tier network topologies? (Choose two)

A.

The core and distribution layers perform the same functions

B.

The access layer manages routing between devices in different domains

C.

The network core is designed to maintain continuous connectivity when devices fail.

D.

The core layer maintains wired connections for each host

E.

The distribution layer runs Layer 2 and Layer 3 technologies

Full Access
Question # 228

Which statement correctly compares traditional networks and controller-based networks?

A.

Only traditional networks offer a centralized control plane

B.

Only traditional networks natively support centralized management

C.

Traditional and controller-based networks abstract policies from device configurations

D.

Only controller-based networks decouple the control plane and the data plane

Full Access
Question # 229

Refer to the exhibit.

Based on the LACP neighbor status, in which mode is the SW1 port channel configured?

A.

passive

B.

mode on

C.

auto

D.

active

Full Access
Question # 230

Drag and drop to the characteristics of networking from the left onto the correct networking types on the right.

Full Access
Question # 231

Refer to the exhibit.

Shortly after SiteA was connected to SiteB over a new single-mode fiber path users at SiteA report intermittent connectivity issues with applications hosted at SiteB What is the cause of the intermittent connectivity issue?

A.

Interface errors are incrementing

B.

An incorrect SFP media type was used at SiteA

C.

High usage is causing high latency

D.

The sites were connected with the wrong cable type

Full Access
Question # 232

Refer to the exhibit.

An engineer booted a new switch and applied this configuration via the console port. Which additional configuration must be applied to allow administrators to authenticate directly to enable privilege mode via Telnet using a local username and password?

A.

Option A

B.

Option B

C.

Option C

D.

Option D

Full Access
Question # 233

Refer to the exhibit.

Router R1 is running three different routing protocols. Which route characteristic is used by the router to forward the packet that it receives for destination IP 172.16.32.1?

A.

longest prefix

B.

metric

C.

cost

D.

administrative distance

Full Access
Question # 234

With REST API, which standard HTTP header tells a server which media type is expected by the client?

A.

Accept-Encoding: gzip. deflate

B.

Accept-Patch: text/example; charset=utf-8

C.

Content-Type: application/json; charset=utf-8

D.

Accept: application/json

Full Access
Question # 235

A device detects two stations transmitting frames at the same time. This condition occurs after the first 64 bytes of the frame is received interface counter increments?

A.

collision

B.

CRC

C.

runt

D.

late collision

Full Access
Question # 236

When a client and server are not on the same physical network, which device is used to forward requests and replies between client and server for DHCP?

A.

DHCP relay agent

B.

DHCP server

C.

DHCPDISCOVER

D.

DHCPOFFER

Full Access
Question # 237

Which goal is achieved by the implementation of private IPv4 addressing on a network?

A.

provides an added level of protection against Internet exposure

B.

provides a reduction in size of the forwarding table on network routers

C.

allows communication across the Internet to other private networks

D.

allows servers and workstations to communicate across public network boundaries

Full Access
Question # 238

An engineer observes high usage on the 2.4GHz channels and lower usage on the 5GHz channels. What must be configured to allow clients to preferentially use 5GH2 access points?

A.

Re- Anchor Roamed Clients

B.

11ac MU-MIMO

C.

OEAP Split Tunnel

D.

Client Band Select

Full Access
Question # 239

Refer to the exhibit.

A network administrator has been tasked with securing VTY access to a router. Which access-list entry accomplishes this task?

A.

access-list 101 permit tcp 10.1.10 0.0.0.255 172.16.10 0.0.0.255 eq ssh

B.

access-list 101 permit tcp 10.11.0 0.0.0.255 172.16.10 0.0.0.255 eq scp

C.

access-list 101 permit tcp 10.11.0 0.0.0.255 172.16.10 0.0.0.255 eq telnet

D.

access-list 101 permit tcp 10.1.10 0.0.0.255 172.16.10 0.0.0.255 eq https

Full Access
Question # 240

A network administrator needs to aggregate 4 ports into a single logical link which must negotiate layer 2 connectivity to ports on another switch. What must be configured when using active mode on both sides of the connection?

A.

802.1q trunks

B.

Cisco vPC

C.

LLDP

D.

LACP

Full Access
Question # 241

Which two actions influence the EIGRP route selection process? (Choose two)

A.

The router calculates the reported distance by multiplying the delay on the exiting Interface by 256.

B.

The router calculates the best backup path to the destination route and assigns it as the feasible successor.

C.

The router calculates the feasible distance of all paths to the destination route

D.

The advertised distance is calculated by a downstream neighbor to inform the local router of the bandwidth on the link

E.

The router must use the advertised distance as the metric for any given route

Full Access
Question # 242

Refer to the exhibit.

An engineer is tasked with verifying network configuration parameters on a client workstation to report back to the team lead. Drag and drop the node identifiers from the left onto the network parameters on the right.

Full Access
Question # 243

Which two must be met before SSH can operate normally on a Cisco IOS switch? (Choose two)

A.

The switch must be running a k9 (crypto) IOS image

B.

The Ip domain-name command must be configured on the switch

C.

IP routing must be enabled on the switch

D.

A console password must be configured on the switch

E.

Telnet must be disabled on the switch

Full Access
Question # 244

What is a capability of FTP in network management operations?

A.

encrypts data before sending between data resources

B.

devices are directly connected and use UDP to pass file information

C.

uses separate control and data connections to move files between server and client

D.

offers proprietary support at the session layer when transferring data

Full Access
Question # 245

which IPv6 address block forwards packets to a multicast address rather than a unicast address?

A.

2000::/3

B.

FC00::/7

C.

FE80::/10

D.

FF00::/12

Full Access
Question # 246

How does the dynamically-learned MAC address feature function?

A.

The CAM table is empty until ingress traffic arrives at each port

B.

Switches dynamically learn MAC addresses of each connecting CAM table.

C.

The ports are restricted and learn up to a maximum of 10 dynamically-learned addresses

D.

It requires a minimum number of secure MAC addresses to be filled dynamically

Full Access
Question # 247

An engineer is configuring NAT to translate the source subnet of 10.10.0.0/24 to any of three addresses 192.168.30.1, 192.168.3.2, 192.168.3.3 Which configuration should be used?

A.

Option A

B.

Option B

C.

Option C

D.

Option D

Full Access
Question # 248

Refer to the exhibit. An engineer must add a subnet for a new office that will add 20 users to the network. Which IPv4 network and subnet mask combination does the engineer assign to minimize wasting addresses?

A.

10.10.225.48 255.255.255.240

B.

10.10.225.32 255.255.255.240

C.

10.10.225.48 255.255.255.224

D.

10.10.225.32 255.255.255.224

Full Access
Question # 249

When a WLAN with WPA2 PSK is configured in the Wireless LAN Controller GUI which format is supported?

A.

Unicode

B.

base64

C.

decimal

D.

ASCII

Full Access
Question # 250

Where does wireless authentication happen?

A.

SSID

B.

radio

C.

band

D.

Layer 2

Full Access
Question # 251

What are two reasons for an engineer to configure a floating state route? (Choose two)

A.

to automatically route traffic on a secondary path when the primary path goes down

B.

to route traffic differently based on the source IP of the packet

C.

to enable fallback static routing when the dynamic routing protocol fails

D.

to support load balancing via static routing

E.

to control the return path of traffic that is sent from the router

Full Access
Question # 252

Which statement about Link Aggregation when implemented on a Cisco Wireless LAN Controller is true?

A.

To pass client traffic two or more ports must be configured.

B.

The EtherChannel must be configured in "mode active"

C.

When enabled the WLC bandwidth drops to 500 Mbps

D.

One functional physical port is needed to pass client traffic

Full Access
Question # 253

When deploying syslog, which severity level logs informational message?

A.

0

B.

2

C.

4

D.

6

Full Access
Question # 254

Refer to the exhibit.

Which route does R1 select for traffic that is destined to 192 168.16.2?

A.

192.168.16.0/21

B.

192.168.16.0/24

C.

192.168 26.0/26

D.

192.168.16.0/27

Full Access
Question # 255

What is the primary different between AAA authentication and authorization?

A.

Authentication verifies a username and password, and authorization handles the communication between the authentication agent and the user database.

B.

Authentication identifies a user who is attempting to access a system, and authorization validates the users password

C.

Authentication identifies and verifies a user who is attempting to access a system, and authorization controls the tasks the user can perform.

D.

Authentication controls the system processes a user can access and authorization logs the activities the user initiates

Full Access
Question # 256

Which protocol prompts the Wireless LAN Controller to generate its own local web administration SSL certificate for GUI access?

A.

HTTPS

B.

RADIUS

C.

TACACS+

D.

HTTP

Full Access
Question # 257

Which technology can prevent client devices from arbitrarily connecting to the network without state remediation?

A.

802.1x

B.

IP Source Guard

C.

MAC Authentication Bypass

D.

802.11n

Full Access
Question # 258

While examining excessive traffic on the network, it is noted that all incoming packets on an interface appear to be allowed even though an IPv4 ACL is applied to the interface.

Which two misconfigurations cause this behavior? (Choose two)

A.

The packets fail to match any permit statement

B.

A matching permit statement is too high in the access test

C.

A matching permit statement is too broadly defined

D.

The ACL is empty

E.

A matching deny statement is too high in the access list

Full Access
Question # 259

What is the effect when loopback interfaces and the configured router ID are absent during the OSPF Process configuration?

A.

No router ID is set, and the OSPF protocol does not run.

B.

The highest up/up physical interface IP address is selected as the router ID.

C.

The lowest IP address is incremented by 1 and selected as the router ID.

D.

The router ID 0.0.0.0 is selected and placed in the OSPF process.

Full Access
Question # 260

Refer to the exhibit.

Router R2 is configured with multiple routes to reach network 10 1.1 0/24 from router R1. What protocol is chosen by router R2 to reach the destination network 10.1 1 0/24?

A.

eBGP

B.

static

C.

OSPF

D.

EIGRP

Full Access
Question # 261

Refer to the exhibit.

Which change to the configuration on Switch?

allows the two switches to establish an GtherChannel?

A.

Change the protocol to EtherChannel mode on.

B.

Change the LACP mode to active

C.

Change the LACP mode to desirable

D.

Change the protocol to PAqP and use auto mode

Full Access
Question # 262

When a WPA2-PSK WLAN is configured in the wireless LAN Controller, what is the minimum number of characters that in ASCll format?

A.

6

B.

8

C.

12

D.

18

Full Access
Question # 263

Refer to the exhibit.

Drag and drop the networking parameters from the left onto the correct values on the right.

Full Access
Question # 264

Drag and drop the application protocols from the left onto the transport protocols that it uses on the right

Full Access
Question # 265

What makes Cisco DNA Center different from traditional network management applications and their management of networks?

A.

It omits supports auto-discovery of network elements in a greenfield deployment.

B.

It modular design allows someone to implement different versions to meet the specific needs of an organization

C.

It abstracts policy from the actual device configuration

D.

It does not support high availability of management functions when operating in cluster mode

Full Access
Question # 266

A corporate office uses four floors in a building

• Floor 1 has 24 users

• Floor 2 has 29 users

• Floor 3 has 28 users

•Floor 4 has 22 users

Which subnet summarizes and gives the most efficient distribution of IP addresses for the router configuration?

A.

192.168.0.0/26 as summary and 192.168.0.0/29 for each floor

B.

192.168.0.0.24 as summary and 192.168.0.0/28 for each floor

C.

192.168.0.0/23 as summary and 192.168.0.0/25 for each floor

D.

l92.168.0.0/25 as summary and 192.168.0.0/27 for each floor

Full Access
Question # 267

Refer to the exhibit.

An administrator configures four switches for local authentication using passwords that are stored in a cryptographic hash. The four switches must also support SSH access for administrators to manage the network infrastructure. Which switch is configured correctly to meet these requirements?

A.

SW1

B.

SW2

C.

SW3

D.

SW4

Full Access
Question # 268

Which mode must be set for APs to communicate to a Wireless LAN Controller using the Control and Provisioning of Wireless Access Points (CAPWAP) protocol?

A.

bridge

B.

route

C.

autonomous

D.

lightweight

Full Access
Question # 269

Which command must be entered when a device is configured as an NTP server?

A.

ntp authenticate

B.

ntp server

C.

ntp peer

D.

ntp master

Full Access
Question # 270

Refer to the exhibit.

A network administrator assumes a task to complete the connectivity between PC A and the File Server. Switch A and Switch B have been partially configured with VLAN 10, 11, 12, and 13. What is the next step in the configuration?

A.

Add PC A to VLAN 10 and the File Server to VLAN 11 fa VLAN segmentation

B.

Add VLAN 13 to the trunk links on Switch A and Switch B for VLAN propagation

C.

Add a router on a stick between Switch A and Switch B allowing for Inter-VLAN routing.

D.

Add PC A to the same subnet as the Fie Server allowing for intra-VLAN communication.

Full Access
Question # 271

Why does a switch flood a frame to all ports?

A.

The frame has zero destination MAC addresses.

B.

The source MAC address of the frame is unknown

C.

The source and destination MAC addresses of the frame are the same

D.

The destination MAC address of the frame is unknown.

Full Access
Question # 272

Which WPA3 enhancement protects against hackers viewing traffic on the Wi-Fi network?

A.

TKiP encryption

B.

AES encryption

C.

scrambled encryption key

D.

SAE encryption

Full Access
Question # 273

A user configured OSPF in a single area between two routers A serial interface connecting R1 and R2 is running encapsulation PPP By default which OSPF network type is seen on this interface when the user types show ip ospf interface on R1 or R2?

A.

port-to-multipoint

B.

broadcast

C.

point-to-point

D.

nonbroadcast

Full Access
Question # 274

What does an SDN controller use as a communication protocol to relay forwarding changes to a southbound API?

A.

OpenFlow

B.

Java

C.

REST

D.

XML

Full Access
Question # 275

Which type of traffic is sent with pure iPsec?

A.

broadcast packets from a switch that is attempting to locate a MAC address at one of several remote sites

B.

multicast traffic from a server at one site to hosts at another location

C.

spanning-tree updates between switches that are at two different sites

D.

unicast messages from a host at a remote site to a server at headquarters

Full Access
Question # 276

Which two tasks must be performed to configure NTP to a trusted server in client mode on a single network device? (Choose two)

A.

Enable NTP authentication.

B.

Verify the time zone.

C.

Disable NTP broadcasts

D.

Specify the IP address of the NTP server

E.

Set the NTP server private key

Full Access
Question # 277

Which port type supports the spanning-tree portfast command without additional configuration?

A.

access ports

B.

Layer 3 main Interfaces

C.

Layer 3 suninterfaces

D.

trunk ports

Full Access
Question # 278

Which type of IPv6 address is publicly routable in the same way as IPv4 public address?

A.

global unicast

B.

link-local

C.

unique local

D.

multicast

Full Access
Question # 279

An engineer configures interface Gi1/0 on the company PE router to connect to an ISP Neighbor discovery is disabled

Which action is necessary to complete the configuration if the ISP uses third-party network devices?

A.

Enable LLDP globally

B.

Disable autonegotiation

C.

Disable Cisco Discovery Protocol on the interface

D.

Enable LLDP-MED on the ISP device

Full Access
Question # 280

Refer to the exhibit.

The default-information originate command is configured under the R1 OSPF configuration After testing workstations on VLAN 20 at Site B cannot reach a DNS server on the Internet Which action corrects the configuration issue?

A.

Add the default-information originate command onR2

B.

Configure the ip route 0.0.0.0 0.0.0.0 10.10.10.18 command on R1

C.

Configure the ip route 0.0.0.0 0.0.0.0 10.10.10.2 command on R2

D.

Add the always keyword to the default-information originate command on R1

Full Access
Question # 281

Refer to Exhibit.

Which action do the switches take on the trunk link?

A.

The trunk does not form and the ports go into an err-disabled status.

B.

The trunk forms but the mismatched native VLANs are merged into a single broadcast domain.

C.

The trunk does not form, but VLAN 99 and VLAN 999 are allowed to traverse the link.

D.

The trunk forms but VLAN 99 and VLAN 999 are in a shutdown state.

Full Access
Question # 282

Refer to the exhibit.

An engineer deploys a topology in which R1 obtains its IP configuration from DHCP. If

the switch and DHCP server configurations are complete and correct. Which two sets of commands must be configured on R1 and R2 to complete the task? (Choose two)

A.

R1(config)# interface fa0/0R1(config-if)# ip helper-address 198.51.100.100

B.

R2(config)# interface gi0/0R2(config-if)# ip helper-address 198.51.100.100

C.

R1(config)# interface fa0/0R1(config-if)# ip address dhcpR1(config-if)# no shutdown

D.

R2(config)# interface gi0/0R2(config-if)# ip address dhcp

E.

R1(config)# interface fa0/0R1(config-if)# ip helper-address 192.0.2.2

Full Access
Question # 283

What are two benefits of FHRPs? (Choose two.)

A.

They prevent (oops in the Layer 2 network.

B.

They allow encrypted traffic.

C.

They are able to bundle muftlple ports to increase bandwidth

D.

They enable automatic failover of the default gateway.

E.

They allow multiple devices lo serve as a single virtual gateway for clients in the network

Full Access
Question # 284

How does a Cisco Unified Wireless network respond to Wi-Fi channel overlap?

A.

It alternates automatically between 2.4 GHz and 5 GHz on adjacent access points

B.

It allows the administrator to assign channels on a per-device or per-interface basis.

C.

It segregates devices from different manufacturers onto different channels.

D.

It analyzes client load and background noise and dynamically assigns a channel.

Full Access
Question # 285

Which output displays a JSON data representation?

A.

Option A

B.

Option B

C.

Option C

D.

Option D

Full Access
Question # 286

How does QoS optimize voice traffic?

A.

reducing bandwidth usage

B.

by reducing packet loss

C.

by differentiating voice and video traffic

D.

by increasing jitter

Full Access
Question # 287

What describes the operation of virtual machines?

A.

Virtual machines are responsible for managing and allocating host hardware resources

B.

In a virtual machine environment, physical servers must run one operating system at a time.

C.

Virtual machines are the physical hardware that support a virtual environment.

D.

Virtual machines are operating system instances that are decoupled from server hardware

Full Access
Question # 288

Refer to the exhibit.

Only four switches are participating in the VLAN spanning-tree process.

Branch-1 priority 614440

Branch-2: priority 39082416

Branch-3: priority 0

Branch-4: root primary

Which switch becomes the permanent root bridge for VLAN 5?

A.

Branch-1

B.

Branch-2

C.

Branch-3

D.

Branch-4

Full Access
Question # 289

Refer to Exhibit.

Which configuration must be applied to the router that configures PAT to translate all addresses in VLAN 200 while allowing devices on VLAN 100 to use their own IP addresses?

A.

Option A

B.

Option B

C.

Option C

D.

Option D

Full Access
Question # 290

A Cisco IP phone receive untagged data traffic from an attached PC. Which action is taken by the phone?

A.

It allows the traffic to pass through unchanged

B.

It drops the traffic

C.

It tags the traffic with the default VLAN

D.

It tags the traffic with the native VLAN

Full Access
Question # 291

Refer to the exhibit.

What is the next hop address for traffic that is destined to host 10.0.1.5?

A.

10.0.1.3

B.

10.0.1.50

C.

10.0.1.4

D.

Loopback D

Full Access
Question # 292

Drag and drop the attack-mitigation techniques from the left onto the Types of attack that they mitigate on the right.

Full Access
Question # 293

Which network allows devices to communicate without the need to access the Internet?

A.

1729.0.0/16

B.

172.28.0.0/16

C.

192.0.0.0/8

D.

209.165.201.0/24

Full Access
Question # 294

Drag and drop the functions from the left onto the correct network components on the right

Full Access
Question # 295

Which action does the router take as it forwards a packet through the network?

A.

The router replaces the original source and destination MAC addresses with the sending router MAC address as the source and neighbor MAC address as the destination

B.

The router encapsulates the original packet and then includes a tag that identifies the source router MAC address and transmits it transparently to the destination

C.

The router encapsulates the source and destination IP addresses with the sending router IP address as the source and the neighbor IP address as the destination

D.

The router replaces the source and destination labels with the sending router interface label as a source and the next hop router label as a destination

Full Access
Question # 296

What is a DHCP client?

A.

a host that is configured to request an IP address automatically

B.

a server that dynamically assigns IP addresses to hosts

C.

a workstation that requests a domain name associated with its IP address

D.

a rooter that statically assigns IP addresses to hosts

Full Access
Question # 297

Which access layer threat-mitigation technique provides security based on identity?

A.

Dynamic ARP Inspection

B.

using a non-default native VLAN

C.

802.1x

D.

DHCP snooping

Full Access
Question # 298

An email user has been lured into clicking a link in an email sent by their company's security organization. The webpage that opens reports that it was safe but the link could have contained malicious code. Which type of security program is in place?

A.

Physical access control

B.

Social engineering attack

C.

brute force attack

D.

user awareness

Full Access
Question # 299

Which HTTP status code is returned after a successful REST API request?

A.

200

B.

301

C.

404

D.

500

Full Access
Question # 300

What is a recommended approach to avoid co-channel congestion while installing access points that use the 2.4 GHz frequency?

A.

different nonoverlapping channels

B.

different overlapping channels

C.

one overlapping channel

D.

one nonoverlapping channel

Full Access
Question # 301

What uses HTTP messages to transfer data to applications residing on different hosts?

A.

OpenFlow

B.

OpenStack

C.

OpFlex

D.

REST

Full Access
Question # 302

How are VLAN hopping attacks mitigated?

A.

enable dynamic ARP inspection

B.

manually implement trunk ports and disable DTP

C.

activate all ports and place in the default VLAN

D.

configure extended VLANs

Full Access
Question # 303

When configuring a WLAN with WPA2 PSK in the Cisco Wireless LAN Controller GUI, which two formats are available to select? (Choose two)

A.

ASCII

B.

base64

C.

binary

D.

decimal

E.

hexadecimal

Full Access
Question # 304

An engineer must configure the IPv6 address 2001:0db8:0000:0000:0700:0003:400F:572B on the serial0/0 interface of the HQ router and wants to compress it for easier configuration. Which command must be issued on the router interface?

A.

ipv6 address 2001:db8::700:3:400F:572B

B.

ipv6 address 2001:db8:0::700:3:4F:572B

C.

ipv6 address 2001:Odb8::7:3:4F:572B

D.

ipv6 address 2001::db8:0000::700:3:400F:572B

Full Access
Question # 305

Which technology is used to improve web traffic performance by proxy caching?

A.

WSA

B.

Firepower

C.

ASA

D.

FireSIGHT

Full Access
Question # 306

What is the function of a controller in controller-based networking?

A.

It serves as the centralized management point of an SDN architecture.

B.

It centralizes the data plane for the network.

C.

It is the card on a core router that maintains all routing decisions for a campus.

D.

It is a pair of core routers that maintain all routing decisions for a campus

Full Access
Question # 307

Refer to the exhibit.

Which configuration on RTR-1 denies SSH access from PC-1 to any RTR-1 interface and allows all other traffic?

A.

access-list 100 deny tcp host 172.16.1.33 any eq 22 access-list 100 permit ip any anyinterface GigabitEthernet0/0 ip access-group 100 in

B.

access-list 100 deny tcp host 172.16.1.33 any eq 22 access-list 100 permit ip any anyline vty 0 15 ip access-group 100 in

C.

access-list 100 deny tcp host 172.16.1.33 any eq 23 access-list 100 permit ip any anyinterface GigabitEthernet0/0 ip access-group 100 in

D.

access-list 100 deny tcp host 172.16.1.33 any eq 23 access-list 100 permit ip any anyline vty 0 15 ip access-group 100 in

Full Access
Question # 308

What is the primary purpose of a First Hop Redundancy Protocol?

A.

It allows directly connected neighbors to share configuration information.

B.

It allows a router to use bridge priorities to create multiple loop-free paths to a single destination.

C.

It reduces routing failures by allowing Layer 3 load balancing between OSPF neighbors that have the same link metric.

D.

It reduces routing failures by allowing more than one router to represent itself, as the default gateway of a network.

Full Access
Question # 309

Which CRUD operation corresponds to the HTTP GET method?

A.

read

B.

update

C.

create

D.

delete

Full Access
Question # 310

A network analyst is tasked with configured the date and time on a router using EXEC mode. The date must be set to 12:00am. Which command should be used?

A.

Clock timezone

B.

Clock summer-time-recurring

C.

Clock summer-time date

D.

Clock set

Full Access
Question # 311

Which command prevents passwords from being stored in the configuration as plain text on a router or switch?

A.

enable secret

B.

service password-encryption

C.

username Cisco password encrypt

D.

enable password

Full Access
Question # 312

Which MAC address is recognized as a VRRP virtual address?

A.

0000.5E00.010a

B.

0005.3711.0975

C.

0000.0C07.AC99

D.

0007.C070/AB01

Full Access
Question # 313

Refer to the exhibit.

An access list is required to permit traffic from any host on interface G0/0 and deny traffic from interface G/0/1. Which access list must be applied?

A.

Option A

B.

Option B

C.

Option C

D.

Option D

Full Access
Question # 314

What is the purpose of traffic shaping?

A.

to mitigate delays over slow links

B.

to provide fair queuing for buffered flows

C.

to limit the bandwidth that a flow can use to

D.

be a marking mechanism that identifies different flows

Full Access
Question # 315

How are the switches in a spine-and-leaf topology interconnected?

A.

Each leaf switch is connected to one of the spine switches.

B.

Each leaf switch is connected to two spine switches, making a loop.

C.

Each leaf switch is connected to each spine switch.

D.

Each leaf switch is connected to a central leaf switch, then uplinked to a core spine switch.

Full Access
Question # 316

Refer to the exhibit.

How does the router manage traffic to 192.168.12.16?

A.

It selects the RIP route because it has the longest prefix inclusive of the destination address.

B.

It chooses the OSPF route because it has the longest prefix inclusive of the destination address.

C.

it load-balances traffic between all three routes

D.

It chooses the EIGRP route because it has the lowest administrative distance

Full Access
Question # 317

Which option about JSON is true?

A.

uses predefined tags or angle brackets () to delimit markup text

B.

used to describe structured data that includes arrays

C.

used for storing information

D.

similar to HTML, it is more verbose than XML

Full Access
Question # 318

What is a function of a remote access VPN?

A.

used cryptographic tunneling to protect the privacy of data for multiple users simultaneously

B.

used exclusively when a user is connected to a company's internal network

C.

establishes a secure tunnel between two branch sites

D.

allows the users to access company internal network resources through a secure tunnel

Full Access
Question # 319

In QoS, which prioritization method is appropriate for interactive voice and video?

A.

expedited forwarding

B.

traffic policing

C.

round-robin scheduling

D.

low-latency queuing

Full Access
Question # 320

Which implementation provides the strongest encryption combination for the wireless environment?

A.

WPA2 + AES

B.

WPA + AES

C.

WEP

D.

WPA + TKIP

Full Access
Question # 321

What is an advantage of Cisco DNA Center versus traditional campus device management?

A.

It supports numerous extensibility options including cross-domain adapters and third-party SDKs.

B.

It supports high availability for management functions when operating in cluster mode.

C.

It enables easy autodiscovery of network elements m a brownfield deployment.

D.

It is designed primarily to provide network assurance.

Full Access
Question # 322

Which security program element involves installing badge readers on data-center doors to allow workers to enter and exit based on their job roles?

A.

role-based access control

B.

biometrics

C.

multifactor authentication

D.

physical access control

Full Access
Question # 323

What is a similarity between OM3 and OM4 fiber optic cable?

A.

Both have a 50 micron core diameter

B.

Both have a 9 micron core diameter

C.

Both have a 62.5 micron core diameter

D.

Both have a 100 micron core diameter

Full Access
Question # 324

In software-defined architecture, which place handles switching for traffic through a Cisco router?

A.

Control

B.

Management

C.

Data

D.

application

Full Access
Question # 325

Which command entered on a switch configured with Rapid PVST* listens and learns for a specific time period?

A.

switch(config)#spanning-tree vlan 1 max-age 6

B.

switch(config)#spanning-tree vlan 1 hello-time 10

C.

switch(config)#spanning-tree vlan 1 priority 4096

D.

switch(config)#spanning-tree vlan 1 forward-time 20

Full Access
Question # 326

Which command automatically generates an IPv6 address from a specified IPv6 prefix and MAC address of an interface?

A.

ipv6 address dhcp

B.

ipv6 address 2001:DB8:5:112::/64 eui-64

C.

ipv6 address autoconfig

D.

ipv6 address 2001:DB8:5:112::2/64 link-local

Full Access
Question # 327

Which technology allows for multiple operating systems to be run on a single host computer?

A.

virtual routing and forwarding

B.

network port ID visualization

C.

virtual device contexts

D.

server visualization

Full Access
Question # 328

What is the default behavior of a Layer 2 switch when a frame with an unknown destination MAC address is received?

A.

The Layer 2 switch drops the received frame

B.

The Layer 2 switch floods packets to all ports except the receiving port in the given VLAN.

C.

The Layer 2 switch sends a copy of a packet to CPU for destination MAC address learning.

D.

The Layer 2 switch forwards the packet and adds the destination MAC address to its MAC address table

Full Access
Question # 329

A manager asks a network engineer to advise which cloud service models are used so employees do not have to waste their time installing, managing, and updating software which is only used occasionally Which cloud service model does the engineer recommend?

A.

infrastructure-as-a-service

B.

platform-as-a-service

C.

business process as service to support different types of service

D.

software-as-a-service

Full Access
Question # 330

Drag drop the descriptions from the left onto the correct configuration-management technologies on the right.

Full Access
Question # 331

What is the primary effect of the spanning-tree portfast command?

A.

it enables BPDU messages

B.

It minimizes spanning-tree convergence time

C.

It immediately puts the port into the forwarding state when the switch is reloaded

D.

It immediately enables the port in the listening state

Full Access
Question # 332

Which device tracks the state of active connections in order to make a decision to forward a packet through?

A.

wireless access point

B.

firewall

C.

wireless LAN controller

D.

router

Full Access
Question # 333

If a notice-level messaging is sent to a syslog server, which event has occurred?

A.

A network device has restarted

B.

An ARP inspection has failed

C.

A routing instance has flapped

D.

A debug operation is running

Full Access
Question # 334

Refer to the exhibit.

When PC-A sends traffic to PC-B, which network component is in charge of receiving the packet from PC-A verifying the IP addresses, and forwarding the packet to PC-B?

A.

Layer 2 switch

B.

Router

C.

Load balancer

D.

firewall

Full Access
Question # 335

Refer to the exhibit.

Which switch in this configuration will be elected as the root bridge?

A.

SW1

B.

SW2

C.

SW3

D.

SW4

Full Access
Question # 336

Refer to the exhibit.

Which outcome is expected when PC_A sends data to PC_B?

A.

The switch rewrites the source and destination MAC addresses with its own.

B.

The source MAC address is changed.

C.

The source and destination MAC addresses remain the same.

D.

The destination MAC address is replaced with ffff.ffff.ffff.

Full Access
Question # 337

What is a DHCP client?

A.

a workstation that requests a domain name associated with its IP address

B.

a host that is configured to request an IP address automatically

C.

a server that dynamically assigns IP addresses to hosts.

D.

a router that statically assigns IP addresses to hosts.

Full Access
Question # 338

What is the maximum bandwidth of a T1 point-to-point connection?

A.

1.544 Mbps

B.

2.048 Mbps

C.

34.368 Mbps

D.

43.7 Mbps

Full Access
Question # 339

Which mode allows access points to be managed by Cisco Wireless LAN Controllers?

A.

autonomous

B.

lightweight

C.

bridge

D.

mobility express

Full Access
Question # 340

What is a benefit of using a Cisco Wireless LAN Controller?

A.

Central AP management requires more complex configurations

B.

Unique SSIDs cannot use the same authentication method

C.

It supports autonomous and lightweight APs

D.

It eliminates the need to configure each access point individually

Full Access
Question # 341

What is a characteristic of cloud-based network topology?

A.

wireless connections provide the sole access method to services

B.

onsite network services are provided with physical Layer 2 and Layer 3 components

C.

services are provided by a public, private, or hybrid deployment

D.

physical workstations are configured to share resources

Full Access
Question # 342

Refer to the exhibit.

After running the code in the exhibit, which step reduces the amount of data that the NETCONF server returns to the NETCONF client, to only the interface's configuration?

A.

Use the Ixml library to parse the data returned by the NETCONF server for the interface's configuration.

B.

Create an XML filter as a string and pass it to get_config() method as an argument.

C.

Create a JSON filter as a string and pass it to the get_config() method as an argument.

D.

Use the JSON library to parse the data returned by the NETCONF server for the interface's configuration.

Full Access
Question # 343

When a switch receives a frame for a known destination MAC address, how is the frame handed?

A.

sent to the port identified for the known MAC address

B.

broadcast to all ports

C.

forwarded to the first available port

D.

flooded to all ports except the one from which it originated

Full Access
Question # 344

Refer to the exhibit. All routers in the network are configured R2 must be the DR. After the engineer connected the devices, R1 was elected as the DR. Which command sequence must be configure on R2 to Be elected as the DR in the network?

A.

Option A

B.

Option B

C.

Option C

D.

Option D

Full Access
Question # 345

Drag and drop the SNMP manager and agent identifier commands from the left onto the functions on the right

Full Access
Question # 346

What are two similarities between UTP Cat 5e and Cat 6a cabling? (Choose two.)

A.

Both operate at a frequency of 500 MHz.

B.

Both support runs of up to 55 meters.

C.

Both support runs of up to 100 meters.

D.

Both support speeds of at least 1 Gigabit.

E.

Both support speeds up to 10 Gigabit.

Full Access
Question # 347

Refer to the exhibit.

Which command provides this output?

A.

show ip route

B.

show ip interface

C.

show interface

D.

show cdp neighbor

Full Access
Question # 348

Refer to the exhibit.

What is the result if Gig1/11 receives an STP BPDU?

A.

The port transitions to STP blocking

B.

The port transitions to the root port

C.

The port immediately transitions to STP forwarding.

D.

The port goes into error-disable state

Full Access
Question # 349

Drag and drop the functions of DHCP from the left onto any of the positions on the right Not all functions are used

Full Access
Question # 350

What event has occurred if a router sends a notice level message to a syslog server?

A.

A TCP connection has been torn down

B.

An ICMP connection has been built

C.

An interface line has changed status

D.

A certificate has expired.

Full Access
Question # 351

Refer to the exhibit.

What commands are needed to add a subinterface to Ethernet0/0 on R1 to allow for VLAN 20, with IP address 10.20.20.1/24?

A.

R1(config)#interface ethernet0/0R1(config)#encapsulation dot1q 20R1(config)#ip address 10.20.20.1 255.255.255.0

B.

R1(config)#interface ethernet0/0.20R1(config)#encapsulation dot1q 20R1(config)#ip address 10.20.20.1 255.255.255.0

C.

R1(config)#interface ethernet0/0.20R1(config)#ip address 10.20.20.1 255.255.255.0

D.

R1(config)#interface ethernet0/0R1(config)#ip address 10.20.20.1 255.255.255.0

Full Access
Question # 352

What is recommended for the wireless infrastructure design of an organization?

A.

group access points together to increase throughput on a given channel

B.

configure the first three access points are configured to use Channels 1, 6, and 11

C.

include a least two access points on nonoverlapping channels to support load balancing

D.

assign physically adjacent access points to the same Wi-Fi channel

Full Access
Question # 353

What are two improvements provided by automation for network management in an SDN environment? (Choose two)

A.

Data collection and analysis tools establish a baseline for the network

B.

Artificial intelligence identifies and prevents potential design failures.

C.

Machine learning minimizes the overall error rate when automating troubleshooting processes

D.

New devices are onboarded with minimal effort

E.

Proprietary Cisco APIs leverage multiple network management tools.

Full Access
Question # 354

Refer to the exhibit.

An administrator must turn off the Cisco Discovery Protocol on the port configured with address last usable address in the 10.0.0.0/30 subnet. Which command set meets the requirement?

A.

interface gi0/1no cdp enable

B.

interface gi0/1clear cdp table

C.

interface gi0/0no cdp advertise-v2

D.

interface gi0/0no cdp run

Full Access
Question # 355

in Which way does a spine and-leaf architecture allow for scalability in a network when additional access ports are required?

A.

A spine switch and a leaf switch can be added with redundant connections between them

B.

A spine switch can be added with at least 40 GB uplinks

C.

A leaf switch can be added with a single connection to a core spine switch.

D.

A leaf switch can be added with connections to every spine switch

Full Access
Question # 356

What criteria is used first during the root port selection process?

A.

local port ID

B.

lowest path cost to the root bridge

C.

lowest neighbor's bridge ID

D.

lowest neighbor's port ID

Full Access
Question # 357

How do TCP and UDP differ in the way they guarantee packet delivery?

A.

TCP uses checksum, acknowledgement, and retransmissions, and UDP uses checksums only.

B.

TCP uses two-dimensional parity checks, checksums, and cyclic redundancy checks and UDP uses retransmissions only.

C.

TCP uses checksum, parity checks, and retransmissions, and UDP uses acknowledgements only.

D.

TCP uses retransmissions, acknowledgement and parity checks and UDP uses cyclic redundancy checks only.

Full Access
Question # 358

In which two ways does a password manager reduce the chance of a hacker stealing a users password? (Choose two.)

A.

It automatically provides a second authentication factor that is unknown to the original user.

B.

It uses an internal firewall to protect the password repository from unauthorized access.

C.

It protects against keystroke logging on a compromised device or web site.

D.

It stores the password repository on the local workstation with built-in antivirus and anti-malware functionality

E.

It encourages users to create stronger passwords.

Full Access
Question # 359

What does a switch use to build its MAC address table?

A.

VTP

B.

DTP

C.

egress traffic

D.

ingress traffic

Full Access